Для синтеза высококачественных приборных гетероструктур, в качестве подложек используются объемные кристаллы бинарных соединений АIIIВV, согласованные по периоду кристаллической решетки с осаждаемыми эпитаксиальными слоями. Согласование параметров решеток обеспечивает когерентность гетерограниц и, следовательно, снижение интерфейсной рекомбинации, что позволяет значительно, улучшить люминесцентные и транспортные характеристики гетероструктур.
Обеспечить согласование осаждаемого слоя с подложкой или последующим (предыдущим) слоем по периоду решетки можно, используя твердые растворы. Под твердым раствором понимаются соединения, образованные таким образом, что два или более элементов III (И) группы случайным образом распределены по узлам решетки, занимаемым атомами III (II) группы, или два или более элементов V (VI) группы, случайным образом распределены по узлам решетки, занимаемым атомами V (VI) группы. Кроме согласования параметров решетки двух материалов, при выборе систем для гетероэпитаксии важную роль играет возможность варьирования ширины запрещенной зоны и зонной структуры (прямозонный полупроводник или нет).
|
|
|
Вследствие изоморфизма кристаллического строения твердых растворов период решетки а(х) твердого раствора вида A x B1- x C подчиняется правилу Вегарда, т.е. линейно зависит от состава х и периодов решетки входящих в него соединений:
а(х)= xaAC + (1-x)aBC.
Ширина запрещенной зоны квазибинарных растворов выражается, в зависимости от состава, функцией,
, (11)
где С — параметр прогиба (нелинейности), имеющий тем большее значение, чем сильнее различие периодов решеток компонентов.
Однако трехкомпонентные растворы, характеризующиеся жесткими зависимостями периода решетки а(х) и ширины запрещенной зоны Еg (х)от состава, не позволяют варьировать эти параметры независимо друг от друга и, таким образом, существенно ограничивают возможности использования гетероструктур в оптоэлектронике. Этого недостатка лишены четырехкомпонентные твёрдые растворы, в которых изменением состава твердого раствора можно в широких пределах изменять ширину его запрещенной зоны' при сохранении периода кристаллической решетки равным периоду заранее выбранной подложки Или периоду соседнего полупроводникового слоя.
Зависимость периода решетки а(х,у) от состава четырехкомпонентных твердых растворов типа A x B1- x C yD1-y, образованных бинарными соединениями АС, ВС, АВ и ВD, обычно описывается интерполяционной формулой:
a(x, y) = xyaAC + x(1-y)aAD + (1-x) yaBC + (1-x)(1-y)aBD.
Ширина запрещенной зоны Еg (х)четырехкомпонентных твердых растворов определяется нелинейной интерполяцией:
|
|
|
(13)
где
— ширины запрещенной зоны соответствующих бинарных палу проводников, Сijk — параметры провисания соответствующих трех-компонентных твердых растворов (значения параметров даны в [21]).
Важно отметить, что ширина запрещенной зоны и период кристаллической решетки для полупроводников не является постоянным параметром, их численные значение в значительной степени зависят от температуры. Температурная зависимость ширины запрещенной зоны имеет следующий вид:
, (14)
где
- ширина запрещенной зоны при температуре абсолютного нуля, Т — температура, a и b — температурные коэффициенты,
Температурная зависимость периода кристаллической решетки выражается формулой
a(T) = a0 [ 1 + a (T — T 0)], (15)
где a 0 — период решетки при температуре T 0, a - коэффициент теплового расширения.
Основной проблемой при МПЭ многокомпонентных твердых растворов является управление составом металлоидной подрешетки. Сложности управления составом многокомпонентных твердых растворов, содержащих два летучих компонента, связаны, как уже отмечалось, с сильной конкуренцией между ними при встраивании в металлоидную подрешетку.
Наибольшее распространение получили методы контроля составов (в металлоидной подрешетке) твердых растворов, основанные на определение скоростей или коэффициентов встраивания элементов VI или V группы, поскольку кинетику поверхностных процессов наиболее удобно описывать интегрально, через коэффициенты встраивая летучих компонентов. Впервые такой подход был предложен нами и успешно применен для количественного описания процессов МПЭ твердых растворов широкозонных соединений АIIIВV: ZnSSe и MgSSe [22]. Мы использовали тот факт, что при эпитаксии ZnSSе.) оказывается возможным с большой точностью зафиксировать переход от поверхностной реконструкции (2х1)Sе к с(2х2)Zn, соответствующий единичному стехиометрическому соотношению потоков атомов VI и II группы на поверхность роста, поскольку ни цинк, ни элементы VI группы не могут сформировать более одного МС на поверхности роста в отсутствии друг друга. Коэффициенты встраивания Sе и S определялись из экспериментальных температурных зависимостей соотношений давлений в падающих потоках элементов VI/II групп, соответствующих перестройке поверхностной реконструкции от (2х1)Sе к с(2х2)Zn при росте ZnSе и ZnSSе. Для последнего определялась, также температурная зависимость состава твердого раствора, выращенного в с тех и о метрических условиях. Далее, определенные коэффициенты встраивания использовались в качестве весовых коэффициентов в уравнениях материального баланса уже в рамках термодинамической модели. Данная феноменологическая модель позволила установить однозначную количественную связь между давлениями компонентов в падающих потоках, температурой подложки, с одной стороны, и скоростью роста, составом и стехиометрии растущего соединения, с другой. Данная модель получила дальнейшее развитие в [23].
В случае эпитаксии многокомпонентных твердых растворов на основе соединений АIIIBV картина оказывается более сложной. Как уже отмечалось, атомы элементов III группы при типичных режимах эпитаксии имеют коэффициент адсорбции, близкий к единице, что может приводить к образованию включений жидкой фазы на фронте кристаллизации. В связи с этим также существуют сложности в выявлении смены поверхностной реконструкции с V-стабилизированной к III-стабилизированной поверхности. Тем не менее, комбинированный подход, интегрально учитывающий кинетику поверхностных реакций через коэффициенты встраивая летучих компонентов, оказалось возможным применить и к описанию МПЭ роста твердых растворов АlGaAsSb [24]. Было обнаружено, что вопреки термодинамическому описанию при типичных температурах эпитаксии преимущественное встраивание в кристаллическую решетку имеют атомы сурьмы, при этом найденный коэффициент встраивания и двух- и четырехатомных молекул близок к единице вплоть до температур 480 °С.
|
|
|
В работе [25] при МПЭ для управления составом твердых растворов использовались калибровки скоростей встраивания летучих компонентов, измеряемые с помощью дифракции быстрых электронов. Суть метода состоит в том, что рост осуществляется в условиях, когда соотношение потоков III/V групп составляет ~1.2 (условия роста стабилизированные элементом III группы), при этом осцилляции Отраженного первичного пучка определяются уже не скоростью роста (поступлением атомов III группы), а скоростью поступления атомов элемента V группы [26]. Такой режим роста сопровождается резким уменьшением яркости картины ДБЭ, деградацией поверхности роста, Связанной с накоплением избыточных атомов Gа, однако в течение короткого промежутка времени (как правило, время роста нескольких монослоев) осцилляции ДБЭ могут быть зафиксированы. Этот метод позволяет прокалибровать скорость встраивания металлоидных компонентов. Состав твердых растворов при этом можно определить просто как арифметические соотношения скоростей встраивания. Следует отметить, что такой метод успешно применяется в ряде случаев, Однако он не учитывает конкуренции между анионами при встраивании в металлоидную подрешетку при росте твердого раствора, поскольку их коэффициенты определяются для случая встраивания в бинарные полупроводники.
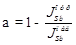
В работе [27] для определения коэффициента встраивания сурьмы при эпитаксии твердых растворов (Аl, Gа) AsSb использовались масспектрометрические измерения отраженного от поверхности роста
и падающего
потоков сурьмы. Коэффициент встраивания сурьмы при этом определялся следующим образом:
. (16)
Такой метод наиболее точно позволяет определить коэффициенты встраивания металлоидов, однако его применение требует переоснащения установок МПЭ, поскольку необходима установка масспектрометра в блок испарительных ячеек вместо одного из источников молекулярного пучка для измерения отраженных от подложки потоков;, что сопряжено со значительными трудностями, и часто невозможно.
|
|
|
Сложности, связанные с управлением составом многокомпонентных твердых растворов, привели к разработке и исследованию нового класса объектов — твердых растворов, в которых атомы распределены по узлам решетки не случайным образом, а упорядоченно. Такой твердый раствор, по сути, является короткопериодной сверхрешеткой моноатомной толщины, причем каждая моноатомная плоскость состоит из атомов одного элемента [28]. Состав такого твердого раствора определяется простым соотношением количества моноатомных плоскостей определенного сорта атомов к их общему числу. При росте такого рода твердых растворов оказывается возможным существенно уменьшить значение падающих потоков и тем самым, уменьшить фоновое давление в ростовой камере. Для синтеза «упорядоченных» твердых растворов используются модификации метода МПЭ: атомно-слоевая эпитаксия и эпитаксия с повышенной миграцией атомов [29]. Суть этих модификаций МПЭ состоит в том. что соответствующие элементы III и V групп подаются на подложку поочередно, а не одновременно.
Синтез многокомпонентных твердых растворов, необходимость использования которых продиктована требованиями обеспечения заданных энергетических параметров при одновременном согласовании периодов кристаллических решеток сопрягаемых материалов, представляет достаточно сложную технологическую задачу еще и потому, что большинство многокомпонентных твердых растворов на основе полупроводников АIIIВV и АIIВVI характеризуются достаточно протяженными областями несмешиваемости.
Из-за различия атомных размеров компонентов, составляющих твердый раствор, неизбежно возникают локальные искажения кристаллической решетки твердого раствора, которые являются основной причиной эндотермического вклада в энтальпию смешения и отклонения поведения системы от идеального. Согласно квазихимическому приближению, положительность избыточной энергии смешения является проявлением тенденции к разделению пар одноименных атомов, т.е. проявлением отталкивания между атомами смешиваемых компонентов твердого раствора. Поэтому в таких системах при некоторой температуре следует ожидать появления областей несмешиваемости и любой неидеальный твердый раствор при понижении температуры становится неустойчивым в определенном диапазоне составов. Твердый раствор, находящийся в области неустойчивости, стремится уменьшить свою свободную энергию в результате распада, приводящего к нарушению макроскопической однородности кристаллов и появлению смеси фаз различного состава. Распад, протекающий без образования зародышей новых фаз, называют спинодальным. При спинодальном распаде составы выделяющихся фаз изменяются непрерывным образом, причем процесс фазового распада охватывает одновременно весь кристалл [30].
В соответствии с терминологией, граничную кривую на диаграмме состояний, отделяющую область составов твердых растворов, неустойчивых даже к бесконечно малым флуктуациям состава, называют спинодалью. С математической точки зрения — это геометрическое место точек, в которых имеет место смена знака кривизны кривых, выражающих зависимость свободной энергии Гиббса от состава твердого раствора.
Спинодальная изотерма разделяет нестабильную и метастабильную области составов твердых растворов. В метастабильной области однородный твердый раствор устойчив относительно малых отклонений от Однородного распределения атомов. Однако устойчивость может быть Потеряна при больших флуктуациях состава, которые можно рассматривать как зародыши новой фазы, т.е. эволюция метастабильной системы к устойчивому состоянию требует флуктуационного преодоления энергетического барьера, связанного с активационным образованием центров новой, более устойчивой фазы.
Критерий термодинамической устойчивости системы, содержащей три независимых компонента, имеет вид
. (17)
Совокупность точек, имеющих общую плоскость касания к поверхности энергии Гиббса, образует линию стабильных твердых фаз. Для составов, ограниченных спинодальной кривой, свободная энергия смеси фаз имеет более низкое значение, чем свободная энергия твердого раствора.
Для математического описания бинодали необходимо приравнять химические потенциалы компонентов в сосуществующих фазах:
. (18)
Экспериментальное изучение процессов распада и кластеризации твердых растворов весьма трудоемко и предполагает использование прецизионных методов фазового анализа. Вместе с тем, информация о разрывах растворимости компонентов в твердой фазе является очень важной, поскольку несмешиваемость твердых растворов может оказаться серьезным препятствием при оптимизации технологических режимов получения эпитаксиальных слоев с заданными свойствами. Поэтому большое распространение получили теоретические модели анализа фазовой устойчивости твердых растворов: модель регулярного раствора [31] и модель «дельта параметра решетки» [32]. На результаты расчетов положения областей несмешиваемости существенное влияние оказывает не только выбор модели для расчета, но и исходные термодинамические параметры. Наибольшая точность расчетов при этом может быть достигнута в рамках модели регулярного раствора при использовании для оценки параметра межатомного взаимодействия в твердой фазе стандартных термодинамических функций [33].
Важно отметить, что процесс МПЭ не подразумевает резкого изменения, температурных режимов, а следовательно, больших флуктуации состава, кроме того, МПЭ традиционно относят к квазиравновесным методам, что в ряде случаев позволяет синтезировать растворы с составами, попадающими внутрь химической области несмешиваемости без признаков спинодального распада [34], однако ее наличие все равно может оказывать существенное влияние на свойства твердых растворов. Кластеризация твердой фазы, в первую очередь, негативным образом отражается на оптических и транспортных свойствах гетероструктур или, например, может выражаться в виде затрудненного встраивания наиболее летучего компонента, что существенно усложняет управление составом твердых растворов. Поэтому задача точного определения положения границ областей неустойчивости в четырехкомпонентных твердых растворах не теряет актуальности и при использовании технологии МПЭ.
Список литературы
1. Cho A.Y., Arthur J.R. Molecular beam epitaxy//in Progress in solid state chemisty/Ed. by G. Somorjaj, J. McCaldin. Pergamon, 1975. V. 10. P. 157-190.
2. Foxon C.T. Molecular beam epitaxy//Acta Electronica. 1978. V. 21. P. 139-150.
3. Guenther K.G.//Z.Naturforsch. 1958. V. 13a. P. 1081.
4. Frank F.C., van der Merwe J.H.//Proc. Soc. London, Ser. A 198. 1949. P. 205.
5. Folmer M. Nuclei formation in supersaturated states/M. Folmer, A. Weber//Zeitschzift fur Physikalishe Chemie. 1926. V. 119. P. 227-301.
6. Stranski I.N., Krastanov L. Theory of orientation separation in Ionic Crystals//Sitzber. Acad. Wiss. Wien, Math-Natur W. 1938. V. 146. P. 797-810.
7. Matthews J.W., Blakeslee A.E.//J. of Crystal Growth. 1974. V. 27. P. 118-125.
8. People R., Bean J.C.//Appl. Phys. Lett. 1985. V. 47. P. 322-324.
9. Майссел Л., Глэнг Р. Технология тонких пленок. М.: Советское радио, 1977.
10. Foxon C.T.//Acta Electronica. 1978. V. 21. P. 139-150.
11. Крегер Ф. Химия несовершенных кристаллов. М., 1987. 651 с.
12. Копьев П.С., Леденцов Н.Н.//ФТП. 1988. Т. 22. С. 1729-1742.
13. Foxon C.T.//Acta Electronica. 1978. V. 21. P. 139-150.
14. Heckingbottom R., Davies G.J., Prior K.A.//Surf. Sci. 1983. V. 132. P. 375-389.
15. Ivanov S.V., Boudza A.A., Kutt R.N., Ledentsov N.N., Meltser B. Ya., Shaposhnikov S.V., Ruvimov S.S., Kop'ev P.S.//J. Cryst. Growth. 1995. V. 156. P. 191-205.
16. Ivanov S., Kop'ev P. Type-II (AlGa)Sb/InAs Quantum well structures and superlattices for opto- and microelectronics grown by molecular beam epitaxy. Chapter 4. In «Antimonide-related strained-layer heterostructures»/Ed. by M.O. Manasreh//Ser. «Optoelectronic properties of semiconductors and superlattices». V. 3. Gordon & Breach Science Publishers, 1997. P. 95-170.
17. Неклюдов П.В., Иванов С.В., Мельцер Б.Я., Копьев П.С.//ФТП. 1997. Т. 31. С. 1242-1245.
18. Ivanov S., Kop'ev P., Ledentsov N.N.//J. Cryst. Growth. 1990. V. 104. P. 345-354.
19. Ivanov S., Kop'ev P., Ledentsov N.N.//J. Cryst. Growth. 1991. V. 184. P. 661-669.
20. Ivanov S., Kop'ev P., Ledentsov N.N.//J. Cryst. Growth. 1991. V. 111. P. 151-161.
21. Vurgaftman I., Meyer J.R., Ram-Mohan L.R.//J. Appl. Phys. 2001. 89(11). P. 5815.
22. Ivanov S.V., Sorokin S.V., Kop'ev P.S., Kim J.R., Jung H.D., Park H.S.//J.Crystal Growth. 1996. V. 159. P. 16-20.
23. Сорокин В.С., Сорокин С.В., Кайгородов В.А. Материалы электронной техники. 2000. Вып. 4. С. 50-54.
24. Семенов А.Н., Соловьев В.А., Мельцер Б.Я., Сорокин В.С., Иванов С.В.//ФТП. 2004. Т. 38, № 3. С. 278-284.
25. Almuneau G., Hall E., Mathis S., Coldren L.A.//J. Crystal Growth. 2000. V. 208. P. 113-116.
26. Chiu T.H., Tsang W.T., Cunningham J.E., Robertson A.Jr.//J. Appl. Phys. 1987, V. 62. P. 2302-2307.
27. Evans K.R., Stutz C.E., Yu P.W., Wie C.R.//J. Vac. Sci. Technol. B. 1990. V. 8. P. 271-275.
28. Egorov A. Yu., Zhukov A.E., Kop'ev P.S., Ledentsov N.N., Maksimov M.V., Ustinov V.M.//Semiconductors. 1994. V.28. P. 363.
29. Horikoshi Y.//J. of Crystal Growth. 1999. V. 201/202. P. 150-158.
30. Кузнецов В.В., Москвин П.П., Сорокин В.С. Неравновесные явления при жидкостной гетероэпитаксии полупроводниковых твердых растворов. М.: Металлургия, 1991.
31. Jordan A.S., Ilegems M.//J. Phys. Chem. Solids. 1975. V. 36. P. 329-342.
32. Stringfellow G.B.//J. of Crystal Growth. 1974. V. 27. P. 21-34.
33. Sorokin V.S., Sorokin S.V., Semenow A.N., Meltser B.Ya., Ivanov S.V.//J. Crystal Growth. 2000. V. 216. P. 97-103.
34. Semenov A.N., Solov'ev V.A., Meltser B.Ya., Lyublinskaya O.G., Prokopova L.A., Ivanov S.V.//J. Crystal Growth. 2005. V. 278. P. 203-208.
![]() |
6. КЛАССИФИКАЦИЯ ПОЛУПРОВОДНИКОВЫХ СВЕРХРЕШЕТОК
С момента появления идеи создания искусственных сверхрешеток, высказанной Л. В. Келдышем в 1962 г. [15] и возрожденной L. Еsaki и R. Тsu в 1970 г., полупроводниковые сверхрешетки представляют собой одну из наиболее развивающихся областей физики твердого тела. Как уже отмечалось, термин «сверхрешетка» используют для периодических структур, состоящих из тонких слоев полупроводников, повторяющихся в одном направлении с периодом, меньшим длины свободного пробега электронов. В основном различают два типа искусственных сверхрешеток: композиционные (КСР), состоящие из периодической последовательности полупроводников разного химического состава, и легированные (ЛСР), представляющие собой последовательность слоев п- и p -типа одного материала с возможными беспримесными прослойками между ними (nipi -кристаллы). Использование этих двух подходов позволило создать большое число различных сверхрешеток. Существующее разнообразие полупроводниковых СР сделало необходимой их классификацию. В данном разделе мы рассмотрим классификацию полупроводниковых сверхрешеток, в основном следуя [13].
Потенциальный профиль в КСР создается за счет периодического изменения ширины энергетической запрещенной зоны в направлении роста кристалла; в ЛСР он обусловлен электростатическим потенциалом ионизированных примесей.
Расположение краев энергетических зон различных материалов обычно сравнивают, используя в качестве единого начала отсчета уровень вакуума. При этом каждый из рассматриваемых материалов характеризуют величиной электронного сродства о, которое определяет энергию, требуемую для переноса электрона со дна зоны проводимости материала на уровень вакуума. Поэтому в материале с большим значением электронного сродства край зоны проводимости лежит ниже по энергии, чем в материале с меньшим электронным сродством.
Использование общего начала отсчета энергии позволяет разделить композиционные сверхрешетки на три типа (рис. 12).
В сверхрешетках типа I разрывы зоны проводимости и валентной зоны имеют противоположные знаки, а запрещенные зоны полностью перекрываются. Такие сверхрешетки называют также контраваршнтным композиционными сверхрешетками.

Рис. 12. Расположение зоны проводимости и валентной зоны относительно уровня вакуума (штриховая линия) в отдельных неконтактирующих материалах (слева) и КСР различных типов (справа): а - СР типа 1, б - СР типа II, в - политипная СР, по оси абсцисс отложена пространственная координата, по оси ординат -энергия [13].
Характерной чертой данных сверхрешеток является то, что узкозонный слой, зажатый между широкозонными слоями, образует две прямоугольные квантовые ямы - одну для электронов, а другую для дырок. Глубина этих потенциальных ям зависит от того, какая часть разности ширин запрещенной зоны D Eg = Eg 2 — Eg 1 приходится на разрыв D EC, а какая - на разрыв D EV. Например, наиболее используемые в настоящее время разрывы зон гетеропереходов GaAs - AlxGa1-xAs составляют 0,6D Eg для D EС и 0,4D Eg - для D EV.
В сверхрешетках типа II изменения краев зоны проводимости и валентной зоны имеют одинаковый знак, а запрещенные зоны перекрываются лишь частично либо не перекрываются вообще (ковариантная сверхрешетка).
Характерной чертой таких сверхрешеток является пространственное разделение носителей, локализованных в квантовых ямах. Электроны сосредоточены в квантовых ямах, образованных одним полупроводником, а дырки - в квантовых ямах, образованных другим полупроводником. Отметим, что в этих многослойных системах возникает «непрямая в реальном пространстве запрещенная зона». В качестве примера на рис. 13 показаны зонные диаграммы сверхрешеток такого типа на основе систем InAs-GaSb и In1-xGaxAs — GaSb1-yAsy.
Политипная сверхрешетка (см. рис. 12, в) представляет собой трехкомпонентную систему, в которой слои, образующие сверхрешетки типа II, дополняются широкозонным материалом, создающим потенциальные барьеры как для электронов, так и для дырок, Пример энергетических диаграмм двух типов политипных сверхрешеток представлен на рис. 14. Такие решетки конструируются из базовых многокомпонентных систем типа ВАС, АВСА, АСВСА и т.д., где А означает АlSb, В - G аSb и С - InAs.
Термином «легированные СР» принято называть периодическую последовательность слоев п - и р -типа одного и того же полупроводника. Результирующее распределение заряда в этом случае создает совокупность параболических потенциальных ям (рис. 15). Потенциал объемного заряда модулирует края зон исходного материала таким образом, что электроны и дырки оказываются пространственно разделенными. Причем соответствующим выбором параметров структуры (уровней легирования и толщин слоев) это разделение можно сделать практически полным. В свою очередь пространственное разнесение минимума зоны проводимости и максимума валентной зоны кардинально сказывается на параметрах системы. Например, из-за малого перекрытия электронных и дырочных состояний времена электронно-дырочной рекомбинации могут на много порядков превосходить свои значения в однородном полупроводнике.

Рис 13. Зависимость положения краев зон относительно уровня вакуума в твердых растворах In1-xGaxAs и GaSb1-yAs от их состава (а) и зонные диаграммы сверхрешеток InAs-GaSb (б) и In1-xGaxAs - GaSb1-yAsy, (в); заштрихованные области соответствуют энергиям подзон и участкам пространства, где концентрируются носители заряда; по оси абсцисс отложена пространственная координата [13].
Особенностью легированных сверхрешеток является возможность использования для их создания любого полупроводника, допускающего легирование как донорами, так и акцепторами.
Другое преимущество легированных сверхрешеток связано с их структурным совершенством, так как в них отсутствуют гетерограницы, с которыми связаны возможности разупорядочения состава или появления напряжений несоответствия. И, наконец, в ДСР путем подбора уровней легирования и толщин слоев эффективной ширине запрещенной зоны можно придавать практически любое значение от нуля до ширины запрещенной зоны исходного материала.

Рис. 14.Энергия краев зон АlSb по отношению к GaSb и InAs (а) и энергетические диаграммы двух типов политипных сверхрешеток (б); заштрихованные области соответствуют запрещенным зонам [13]

Рис. 15. Схема расположения слоев (а) и координатная зависимость зонной диаграммы (б) для легированных сверхрешеток GаАs; стрелка на левом рисунке- показывает направление роста слоев [13]
Возможности легирования отдельных- слоев используются и изменения свойств композиционных сверхрешеток. При этом обычно осуществляют легирование донорной примесью широко-зонного материала (материала барьеров). Поскольку край зоны Проводимости узкозонного материала (дно КЯ) в этом случае оказывается ниже по энергии, чем донорные уровни в барьерах, электроны с донорных состояний могут переходить в нелегированные слои, пространственно разделяясь с породившими их ионизированными донорами. Такой пространственный переход подвижных носителей в сверхрешетках с модулированным легированием создает в КСР области объемного заряда чередующегося знака, что вызывает периодические изгибы краев зон (рис. 16)и трансформацию прямоугольных квантовых ям в КЯ параболического типа. Кроме того, подвижные носители заряда, перешедшие в квантовую яму, могут двигаться в них параллельно гетерогранице, испытывая слабое рассеивание на ионизованных примесях из-за п ространственного разделения рассеивающих центров и канала, в котором движутся подвижные носители заряда.

Рис. 16. Схема расположения слоев (а) и координатная зависимость зонной диаграммы для сверхрешеток i— GaAs -n +, AlxGa1-xAs с модулированным легированием (б); изгибы зон вблизи гетерограниц создаются пространственными зарядами, возникающими при переходе электронов с ионизованных доноров в барьерах n+ -AlxGa1-xAsв потенциальную яму i - GaAs [13]
В сверхрешетке с модулированным легированием можно достичь еще большего увеличения подвижности электронов, если ввести тонкие нелегированные широкозонные прослойки толщиной 5...10 нм, т.е. еще больше разнести рассеивающие центры и подвижные носители. Этот эффект будет наиболее выражен при низких температурах, когда ослаблены процессы фононного рассеяния.
На рис. 17, показан еще один тип легированных КСР, обладающих перестраиваемыми электронными свойствами (как ЛСР) и одновременно существенно увеличенными подвижностями электронов и дырок в квантовых ямах (как сверхрешетки с модулированным легированием).

Рис.17. Расположение слоев (слева) и координатная зависимость зонной диаграммы (справа) для легированной сверхрешетки GaAs—AlxGa1-xAs период СР состоит из десяти отдельных слоев; стрелка на левом рисунке показывает направление роста [13].
Основная идея создания такой легированной сверхрешетки состоит в периодическом включении специально нелегированных i -слоев. При этом сверхтонкие нелегированные слои i -GaAs оказываются зажатыми между чередующимися легированными п- и р -слоями AlxGa1-xAs. Эффект пространственного разделения перешедших в слои GaAs свободных носителей заряда и породивших

Рис. 18. Общая классификация полупроводниковых сверхрешеток.
их ионизованных примесей усиливается засчет введения тонких нелегированных прослоек i— AlxGa1-xAs на гетерограницах. При этом оказывается, что периодический ход потенциала обычной легированной сверхрешетки периодически прерывается потенциальными ямами, образованными материалом с меньшей шириной запрещенной зоны.
На рис. 18 дана общая классификация сверхрешеток по структурным признакам, относительному расположению краев зон на гетерограницах, материалам слоев, образующих сверхрешетку, и степени рассогласования постоянных решетки на гетерограницах [13].
сей кислорода также осложняет их протекание. В методах СVD температурный интервал осаждения составляет обычно 900—1100°С формирование наноструктур затруднительно. Специальные методы образования двухфазных композиций и применение плазмы для активирования химических реакций могут способствовать получению наноматериалов, как, например, в случае высокотвердых покрытий типа Si3N4-TiN [40].
Применительно к некоторым металлам и сплавам (Ni Ni —Р, Ni—Мо, Ni—W и др.) для получения наноматериалов оказался весьма эффективным метод импульсного электроосаждения, когда реализуется высокая скорость зарождения кристаллитов и за счет адсорбционно-десорбционных ингибирующих процессов обеспечивается их низкая скорость роста. Канадская фирма «Ontario Hydro Technologies» освоила промышленный выпуск слоев толщиной 1 — 100 мкм и небольших по толщине (100 мкм—2 мкм) изделий, получаемых импульсным электроосаждением для различных приложений. В табл. 3.11 приводились сведения о физико-механических свойствах никелевых наноструктурных лент полученных импульсным электроосаждением.
Получает распространение метод газотермического напыления наноструктурных покрытий [34]. В качестве сырья используют различные оксидные (Аl2О3—ТiО2, Аl2О3—ZrО2, Сr2О3—TiO) ZrО2—Y2О3 и др.) и карбидные (WС—Со, Сr3С2—Ni и др.) композиционные нанопорошки. Схема установки для газотермического напыления твердосплавных порошков с использованием кислородуглеводородных газовых смесей показана на рис. 4.13. Перед напылением исходные порошки обрабатывают в высокоэнергетических измельчающих агрегатах, а затем для улучшения сыпучести подвергают агломерации (смешиванию с пластификатором и обкатке). В результате получают округлые частиц размером
Рис. 4.13. Схема установки газотермического напыления: 1 — ввод газовых смесей; 2 — смеситель; 3 ~ система охлаждения; 4 — плазменный ствол; 5— покрытие; 6— подложка; 7— ввод порошка
10 — 50 мкм. Последняя операция обеспечивает достаточную скорость поступления агломерированных сфероидов в плазменную струю. Хотя температура последней достаточно высокая (примерно 3000 К и выше), но высокие скорости газового потока (около 2000 м/с) приводят к кратковременному пребыванию наноструктурных частиц в высокотемпературном интервале. Размер нанокристаллитов обычно увеличивается от 30—40 нм до 200 нм, но показатели твердости и износостойкости таких покрытий превосходят таковые для обычных покрытий в 1,3 — 2 раза.
Ионно-плазменная обработка поверхности, включая имплантацию, используется применительно к самым различным материалам (металлам, сплавам, полупроводникам, полимерам и др.) для создания поверхностных сегрегации и нанорельефа, что полезно для многих практических приложений (см. подразд. 4.3, 5.5).







