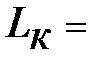
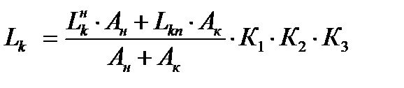
Норма пробега до капитального ремонта (ресурс) Lк для заданных условий эксплуатации устанавливается по каждой модели подвижного состава по формуле:
(1.1)
где
– межремонтный пробег автомобилей прошедших КР, км
Ан, Ак – соответственно количество новых автомобилей и автомобилей
после капитального ремонта, ед.
КамАЗ
= 140197 км
ЗИЛ
=
= 140352 км
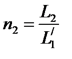
Норма пробега автомобиля до ТО-1 и ТО-2 определяется из выражения:
(1.2)
где
– нормативный пробег автомобиля до i -го технического
обслуживания, км
КамАЗ ЗИЛ
4 000∙0,8∙0,9 = 2880км
= 16 000∙0,8∙0,9 = 11520км
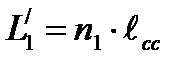
Для составления план-графика ТО скорректированные пробеги с учетом условий эксплуатации корректируются со среднесуточным пробегом. Количество дней, через которое ставится автомобиль на ТО-1, находится:
,дней (1.3)
КамАЗ ЗИЛ
=
24 дн
Скорректированный пробег до ТО-1 находится:
, (1.4)
где
- скорректированный пробег до ТО-1, км
ℓсс – среднесуточный пробег автомобиля, км
КамАЗ ЗИЛ
=
км
Количество дней, через которое ставится автомобиль на ТО-2 находится:
|
|
|
,дн (1.5)
- скорректированный пробег до ТО-2, км
КамАЗ ЗИЛ
=
4 дн.
- скорректированный пробег до ТО-2, км
, (1.6)
- скорректированный пробег до ТО-2, км
КамАЗ ЗИЛ
=3120∙4 = 12480 км






