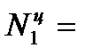
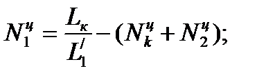
Пробег до КР при цикловом методе расчета принимается равным Lk=Lц, поэтому:
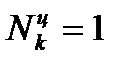
Количество КР (списаний):
(1.7)
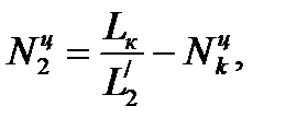
Количество ТО-1 и количество ТО-2:
(1.8)
где
– соответственно количество КР (списаний), ТО-1, ТО-2,
ЕО выполняемое ежедневно при возврате подвижного состава ТО и ТР за цикл;
– соответственно скорректированные пробеги до КР, ТО-1 и ТО-2, км;
– среднесуточный пробег, км;
1,6 – коэффициент, учитывающий выполнение ЕО при ТР.
КамАЗ
– 1 = 11
ЗИЛ
– 1 = 11
(1.9)
где
– соответственно количество КР (списаний),
КамАЗ
- (1 + 11) = 33
ЗИЛ
- (1 + 11) = 33
Количество ЕО:
(1.10)
где
– соответственно количество КР (списаний),
КамАЗ
=
= 1078
ЗИЛ
=
= 1080
; (1.11)
КамАЗ
(33+11)∙1,6 = 70,4
ЗИЛ
= (33+11)∙1,6 = 70,4






