В целях выявления технического уровня разработанного проекта производится оценка и сравнение полученных технико-экономических показателей данного проекта с эталонными.
Гипроавтотрансом разработаны и установлены следующие технико-экономические показатели: число производственных рабочих и рабочих постов на 1 автомобиль1, площадь производственно-складских, административно-бытовых помещений на 1 автомобиль (в м2), площадь стоянки на одно место хранения (в м2), площадь территории предприятия на 1 автомобиль (в м2). Кроме оценки проектов технико-экономические показатели используются для выполнения укрупненных расчетов при выборе путей развития и совершенствования производственно-технической базы предприятий, при определенной необходимости и целесообразности расширения и реконструкции АТП.
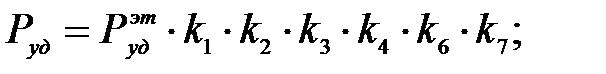
чел. (3.1)
где Руд, – число производственных рабочих на 1 автомобиль;
= 0,32 ∙1,08 ∙ 0,92 ∙ 1 ∙ 0,70 ∙ 1,16 ∙ 1,13 = 0,30
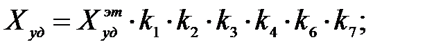
ед. (3.2)
где Худ –число и рабочих постов на 1 автомобиль;
= 0,10 ∙1,14 ∙ 0,88 ∙ 1 ∙ 0,89 ∙ 1,15 ∙ 1,1 = 0,12
|
|
|
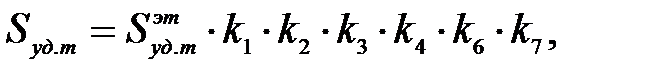
м2 (3.3)
где Sуд.пр, – соответственно площади производственно складских помещений;
= 19 ∙ 1,12 ∙ 0,83 ∙ 1 ∙ 0,76 ∙ 1,15 ∙ 1,08 = 16,7
м2 (3.4)
где Sуд.ст, - площадь стоянки на 1 автомобиль;
= 37,20 ∙ 0,95 ∙ 1 ∙1,4 = 49,4
м2 (3.5)
где Sуд.вс – площадь вспомогательных помещений;
= 8,70∙1,14 ∙ 0,96 ∙ 1 ∙ 0,88 ∙ 1,08 ∙ 1,06 = 9,6
м2 (3.6)
где Sуд.т - площадь территории на 1 автомобиль;
= 120∙1,1 ∙ 0,9 ∙ 1 ∙ 0,92 ∙ 1,07 ∙ 1,04 = 121,7
(3.7)
(3.8)
(3.9)
(3.10)
(3.11)
(3.12)
где
– тоже для эталонных условий.;
ΣР, ΣХ – соответственно количество работающих и количество постов
на проектируемом предприятии;
ΣSпр, ΣSст, ΣSвс, ΣSтр – соответственно площади производственно-
складских помещений, стоянки,
вспомогательных помещений и территории на
проектируемом предприятии.

= 0,07
= 8,5
= 42,3
= 6,6
= 125,7
Таблица 3.1
Технико-экономические показатели
| Наименование показателей | Значения показателей | Сравнение показателей (ПП-ПЭ)100/ПЭ, % | |
| Эталонные, ПЭ | По проекту, ПП | ||
| Число производственных рабочих | 0,30 | 0,30 | |
| Число рабочих постов | 0,12 | 0,10 | -17 |
| Площадь производственно-складских помещений, м2 | 16,7 | 8,5 | -49 |
| Площадь вспомогательных помещений, м2 | 9,6 | 6,6 | -31 |
| Площадь стоянки | 49,4 | 42,3 | -14 |
| Площадь территории, м2 | 121,7 | 125,7 |
На основании данных таблицы делаются выводы о прогрессивности принятых проектных решений. Для проектируемых АТП значения технико-экономических показателей, как правило, не должны отклоняться от эталонных на 10-20%. Если они превышают эталонные, то это свидетельствует о завышении для данного проекта числа производственных рабочих, числа рабочих постов и соответствующих площадей.
|
|
|
Проанализировав показатели, предлагается увеличить площадь производственно-складских помещений на 29%, площадь вспомогательных помещений на 9%. С учетом этих изменений производственный корпус составит 1944 м 2
СПИСОК ЛИТЕРАТУРЫ
1.Технологическое проектирование (реконструкция) автотранспортных предприятий/ Под редакцией О.Ф.Данилова: Учебно-методическое пособие. –Тюмень: ТюмГНГУ, 1996.–245с.
2.Напольский Г.М. Технологическое проектирование автотранспортных предприятий и станций технического обслуживания: учебник для вузов. – М.: Транспорт, 1985.–231с.
3.ОНТП-01-91 Общесоюзные нормы технологического проектирования для предприятий автомобильного транспорта. ЦБНТИ Минавтотранса РСФСР. – М., 1991.
4.Положение о техническом обслуживании и ремонте подвижного состава автомобильного транспорта. Министерство автомобильного транспорта. 1988.
5.Приложения к методическим указаниям по выполнению курсового проекта.
6.Методические указания по выполнению курсового проекта, Тюмень 2006г.-60с.






