Укрупнено площадь зоны хранения
, м2, может быть определена по следующим формулам:
При хранении в закрытом помещении:
, (1,52)
где
– площадь, занимаемая автомобилем в плане, м2;
КП – коэффициент плотности расстановки автомобилей.
Величина КПП зависит, от способа расстановки автомобилей и принимается равной 2,5-3,5.
(1,53)
КАМАЗ
м2
ЗИЛ
м2
При хранении в закрытом помещении:
КАМАЗ
м2
ЗИЛ
м2
Зоны хранения автомобилей КАМАЗ и ЗИЛ составляет: 8236,2 м2
РАЗРАБОТКА ПЛАНИРОВКИ АТП
Под планировкой АТП понимаются компоновка и взаимное расположение производственных, складских и административно-бытовых помещений на плане здания или отдельно стоящих зданий (сооружений), предназначенных для ТО, ТР и хранения подвижного состава.
Целью планировки является решение вопросов использования и застройки земельного участка, организации производственного процесса на территории предприятия, взаимного расположения зданий и сооружений, размещение рабочих постов и мест хранения подвижного состава.
2.1. Генеральный план
Генеральный план – это участок территории, отведенный под застройку, с указанием на нем зданий и сооружений по их габаритному очертанию, площадки для открытого хранения подвижного состава, основных и вспомогательных проездов и путей движения подвижного состава.
Перед разработкой генерального плана определяется перечень зданий и сооружений, размещенных на территории АТП их площади и размеры.
Состав и площадь основных производственных зданий, при условии одноэтажной блокированной застройки определяется по итогам технологического расчета. К ним необходимо добавить здания контрольно-пропускного пункта и административно-бытового корпуса, расчет которых ранее не выполнялся.
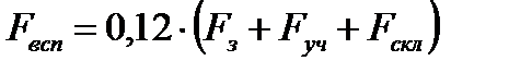
Расчет площади производственного корпуса:
,м2 (2.1)
= 0,12∙(801,6 + 281 + 280,61) = 164м2
Площадь проезда составляет 10% от площади производственно-складских помещений.
,м2 (2.2)
0,1∙(801,6 + 281 + 280,61) = 137 м2
,м2 (2.3)
= 801,6 + 281 + 164 + 280,61 + 137 = 1665 м2
Площадь, занимаемая административно-бытовым корпусом
,м2 (2.4)
где fуд.вс – удельная площадь вспомогательных помещений
на 1 автомобиль, м2/1авт..
Nэ – число этажей (принимать равным 2-4);
=
= 926,3 м2
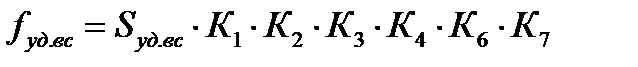
,м2 (2.5)
Sуд.вс – удельная площадь вспомогательных помещений
на 1 автомобиль для эталонных условий;
k1, k2, k3, k4, k6, k7,– коэффициенты корректирования Sуд.вс. на
проектные условия;
= 8,7 ∙ 1,14 ∙ 0,95 ∙ 1 ∙ 0,88 ∙ 1,08 ∙ 1,06 = 9,5 м2
Определения площади здания контрольно-технического пункта
Число постов:
, (2.6)
где Ап – часовая пропускная способность одного поста, авт/ч;
ТВ – продолжительность выпуска автомобилей на линию, час
= 
Площадь контрольно-технического пункта приближенно равна:
,м2 (2.7)
где
– площадь автомобиля в плане, м2,
= 4 ∙ 1 ∙ 16,7 = 66,8 м2
Fвсп = 926,3 + 66,8 + 164 + 137 = 1294 м2
Габаритные размеры и конфигурация производственного корпуса определяется его планировочным решением, поэтому планировка корпуса и генплана взаимосвязаны и их разработка ведется одновременно.
Необходимая площадь участка под эту застройку Fген.п, м2:
,м2 (2.8)
где Fi – площадь застройки другими, отдельно стоящими зданиями, м2;
К3 – плотность застройки, %.
FПР.К, FАБК, FКТП, FХ –площади застройки производственного корпуса,
АБК, КТП, площадь открытой стоянки хранения
автомобилей.
=
= 24513 м2
2.2. Объемно-планировочные решения производственного корпуса
В плане здания располагаются все необходимые помещения зон, цехов, складов и др. помещений в соответствии технологическим тяготением друг к другу с учетом данных технологических расчета, санитарно-технических, противопожарных, строительных и других требований.
Зоны ЕОC и ЕОТ размещаются в крайних частях здания.
При выборе места расположения постов зон ТО-2 и ТР относительно окон предпочтение отдается первой. Посты и линии диагностирования Д-1 и Д-2 следует размещать в отдельных помещениях таким образом, чтобы после них автомобили могли проехать в любую производственную зону или на стоянку.