12.2.1 Допустимый момент вращения на валу при наименьшей частоте частоте вращения двигателя с самовентиляцией
М2 =
0,83·95,5 = 79,26 Н·м
12.2.2 Магнитный поток при n min у двигателя с самовентиляцией

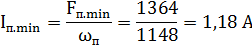
12.2.3 Ток якоря при n min у двигателя

12.2.4 ЭДС при n min

12.2.5 Напряжение на якоре при n min
В
12.2.6 Результирующая МДС при n min, найденная по характеристике намагничивания
FSmin = 1400 A
12.2.7 Размагничивающая МДС реакции якоря

12.2.8 МДС стабилизирующей обмотки

12.2.9 МДС обмотки возбуждения главных полюсов
Fп.min = FSmin+Fp2−Fпос = 1400+236,75-273,1=1364 А
12.2.10 Ток обмотки возбуждения

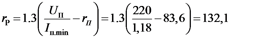
12.2.11 Максимальная величина регулирующего сопротивления
Ом






