13.2.1 Условная поверхность охлаждения активной части якоря
Sп2 = (pDн2 +nк2dк2)l2 =
мм2.
13.2.2 Условный периметр поперечного сечения паза
П2 = p(r1+r2)+2h1 =
=70,62 мм.
13.2.3 Условная поверхность охлаждения пазов
Sи.п2 = Z2П2l2 =
мм2.
13.2.4 Условная поверхность охлаждения лобовых частей обмотки
Sл2 = 2pDн2lв2 =
мм2.
13.2.5 Условная поверхность охлаждения машины
Sмаш=pDн1(l2+2lв2)=
мм2.
13.2.6 Удельный тепловой поток от потерь в активной части обмотки, отнесенных к поверхности охлаждения пазов
рп2=(Р'м22l2/lср2+РсS)/Sп2=
Вт/мм2
13.2.7 Удельный тепловой поток от потерь в активной части обмотки, отнесенных к поверхности охлаждения пазов
ри.п2 = (Р'м22l2/lср2)/Sи.п2 =
Вт/мм2
13.2.8 Удельный тепловой поток от потерь в лобовых частях обмотки
рл2 = (Р'м22l2/lср2)/Sл2 =
Вт/мм2
13.2.9 Окружная скорость якоря при номинальной частоте вращения

13.2.10 Превышение температуры поверхности активной части якоря над температурой воздуха внутри машины

где a2 = 13·10-5 – коэффициент теплоотдачи поверхности якоря
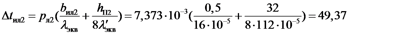
13.2.11 Перепад температуры в изоляции паза и проводов
|
|
|
ОC
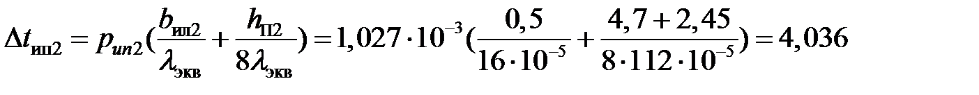
13.2.12 Превышение температуры поверхности лобовых частей обмотки над температурой воздуха внутри машины

13.2.13 Перепад температуры в изоляции катушек и проводов лобовых частей обмотки
ОC
13.2.14 Среднее превышение температуры обмотки над температурой воздуха внутри машины
Dt'2 = (Dtп2+Dtи.п2)2l2/lср2+(Dtл2+Dtи.л2)2lл2/lср2
=
ОC
13.2.15 Сумма потерь в машине

13.2.16 Среднее превышение температуры воздуха внутри машины над температурой наружного охлаждающего воздуха
Dtв = Р'S/(aвSмаш) =
ОC
где aв=135·10-5 коэффициент подогрева воздуха
13.2.17 Среднее превышение температуры обмотки якоря над температурой наружного охлаждающего воздуха
Dt2 = Dt'2+Dtв = 82,56+8,74=91,3 ОC






