![]() |
- Семейство входных характеристик
- Семейство выходных характеристик.
![]() |
- Семейство характеристик прямой передачи
![]() | ||
![]() |
- Семейство характеристик обратной связи


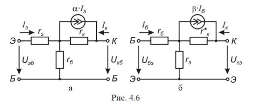
18. Эквивалентные схемы биполярного транзистора для включения с ОБ и ОЭ.
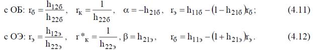
Физическая Т-образная эквивалентная схема БТ наряду с h-параметрами также достаточно полно отражает свойства реального транзистора на низких частотах и широко используется для анализа малосигнальных транзисторных усилителей. Физические Т-образные эквивалентные схемы БТ с ОБ и ОЭ представлены на рис. 4.6, а, б соответственно. Значения параметров эквивалентных схем БТ могут быть найдены с использованием известных h-параметров для включения БТ:

Поскольку коэффициенты обратной связи по напряжению
и
для обеих схем включения БТ имеют очень малую величину, точность их вы-числения с использованием статических ВАХ оказывается низкой. В связи с этим расчет параметров эквивалентной схемы необходимо начинать с расчета дифференциального сопротивления эмиттерного перехода:

где–
тепловой потенциал, равный 26 мВ при Т=300 К;
– ток эмиттера БТ в рабочей точке. С учетом этого в (4.11) объемное сопротивление базы БТ необходимо рассчитывать согласно выражению


Параметры эквивалентных схем маломощных БТ принимают следующие ти-повые значения: дифференциальное сопротивление эмиттерного перехода
– единицы – десятки ом; объемное сопротивление базы
– сотни ом
– единицы ки-лоом; выходное сопротивление в схеме с ОБ – сотни килоом – единицы мегаом; выходное сопротивление в схеме с ОЭ
– десятки – сотни килоом.










