При анализе электронных схем на полевых транзисторах удобно транзистор представить в виде схемы замещения с сосредоточенными параметрами. Исходя из принципа действия транзистора ясно, что электропроводность канала и напряжение на его участках зависят от продольной координаты в пространстве исток-сток. Поэтому полевой транзистор является устройством с распределенными параметрами. Однако для упрощения анализа его с некоторыми допущениями представляют в виде эквивалентной схемы с сосредоточенными параметрами.

Представлена упрощенная физическая малосигнальная эквивалентная схема транзистора, включенного по схеме с общим истоком, а подложка соединена с истоком.
В этой схеме резистор Ri характеризует внутреннее дифференциальное сопротивление транзистора, а конденсаторы характеризуют следующие емкости:
Сзи – емкость между затвором и истоком;
Сзс – емкость между затвором и стоком;
Сси – емкость между стоком и истоком(подложкой).
Генератор тока SUзи отражает усилительные свойства транзистора. Ток этого генератора пропорционален входному напряжению Uзи.
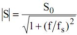
Инерционные свойства полевых транзисторов зависят от скорости движения носителей заряда в канале, межэлектродных емкостей. В связи с этим, крутизна характеристики прямой передачи с ростом частоты f уменьшается по закону

Частоту fs, на которой крутизна характеристики прямой передачи уменьшается в
раз по сравнению со своим значением Sо на низкой частоте, называют предельной частотой крутизны.
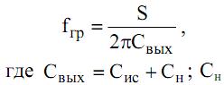
С ростом частоты модуль крутизны
уменьшается, что приводит к снижению коэффициента усиления. Частота, на которой модуль коэффициента усиления по напряжению равен единице, называют граничной частотой, и она определяется по формуле
- входная емкость следующей схемы (нагрузки) и емкость соединительных проводников.
Частота, где коэффициент усиления по мощности равен единице, называют максимальной частотой fмакс.






