Эластичность — численная характеристика спроса или предложения, описывающая степень зависимости их величин от цены и показывающая, на сколько процентов изменится спрос при изменении цены на N%.
Эластичный спрос или предложение – когда изменение величины спроса (предложения) больше изменения цены (E>1).
Неэластичный спрос или предложение – когда изменение величины спроса (предложения) меньше изменения цены (E<1).
В зависимости от значения коэффициента
различают:
-совершенную неэластичность (
= 0);
-неэластичный спрос (
< 1);
-спрос, имеющий единичную эластичность (
= 1);
-эластичный спрос (
> 1);
-совершенно эластичный спрос (
).
Точечная эластичность – может быть определена, если провести касательную кривой спроса. Значение точек эластичности обратно пропорциональна тангенсу угла наклона касательной.
Дуговая эластичность – это показатель средней реакции спроса на изменение цены выраженной кривой спроса на некотором отрезке D1D2.
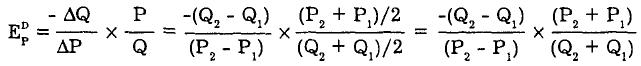
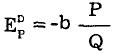
Эластичность спроса относительно цены – относительное изменение объема спроса при изменении цены на N%.

Формула средней точки Алена используется для измерения процентного изменения спроса.

Перекрестная эластичность спроса (предложения) – форма эластичность спроса (предложения), при которой изменение цены на один товар приводит к изменению спроса (предложения) на другой (сходный по своим потребительским качествам) товар. Положительное значение перекрестной эластичности означает, что товары являются взаимозаменяемыми. Отрицательное значение перекрестной эластичности означает, что товары являются взаимодополняющими.