Логическое выражение поискового условия – это синтаксическая конструкция языка, задающая порядок и способ вычисления величины, принимающей значение «0» или «1». Выражение представляет собой последовательность операндов, соединенных друг с другом знаками операций. Нотация Бэкуса для такого выражения следующая: <Выражение>::=<Операнд>½<Выражение><Операция>
<Выражение>½ (<Выражение><Операция><Выражение>) Обычно: операнд – термин(дескриптор); операция – одна из логических операций. Первый этап вычисления логического выражения может состоять в построении двоичного дерева операций. Все логические операции (кроме NOT) – бинарные => можно представить любое логическое выражение запроса в виде несбалансированного двоичного дерева, прохождение по которому снизу вверх приводит к получению результата. В узлах дерева расположены логические операции (oi), а листья (конечные узлы) представляют собой строки матрицы L0, соотвующие терминам запроса
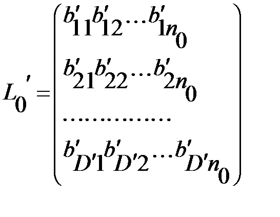
.Операнд запроса – отдельно вычисляемое выражение, соответствующее поддереву запроса. Расширенная матрица «термин-документ»
. Строки – не только показатели встречаемости терминов, но и результирующие векторы запросов (Qi).
, где 1, K – количество включенных в матрицу результирующих векторов запросов,а 
Поставим в соответствие каждой логической операции правило ее выполнения с использованием расширенной матрицы:
где
из множества бинарных логических операций:
Для унарной операции NOT это правило реализуется следующим образом: 
Тогда алгоритм разрешения двоичного дерева поискового запроса состоит в последовательном выполнении снизу вверх логических операций и в пополнении на каждом шаге матрицы L0 очередной строкой-результатом. Условием выполнения k -той операции служит наличие в матрице
строк, соответствующих правому и левому операнду. После выполнения k -той операции формируется результирующий вектор
, который становится (
)-й строкой матрицы.






