Коэффициент линейной корреляции R выдачи и релевантности документов представляет собой корреляционный момент двух случайных величин: С – «быть выданным документом» (формально релевантным с точки зрения системы)и И – «быть релевантным» (истинно релевантным с точки зрения пользователя).
Каждая из величин может иметь значения 0 и 1 в зависимости от конкретного документа.
Математические ожидания С и И:
;
;
дисперсии определяются аналогично:
;
.
Ковариационный момент C, И равен: 
Окончательно:
.
Очевидно, что в различных точках координат <n,x> значения (знаки) R следующие:
(из рис.3.4.).
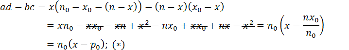
В частности, легко убедиться, что
повсюду на линии
. Для этого достаточно показать, что
:

Т.к. на линии
выполняется
, то
.






