Эксперименты показали, что зависимость тела
от частоты
при разных температурах
абсолютно черного тела имеет вид, изображенный на рис.7.5. Существование на каждой кривой более или менее ярко выраженного максимума свидетельствует о том, что энергия излучения абсолютно черного тела распределена по его спектру неравномерно: абсолютно черное тело почти не излучает в области очень малых и очень больших частот.
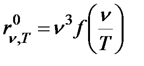
Вином была установлена зависимость
, (7.15)
где
- функция отношения частоты излучения абсолютно черного тела к его температуре.
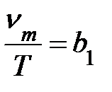
Из формулы (7.15) можно найти зависимость частоты
от температуры
, соответствующей максимальному значению излучательной способности
абсолютно черного тела
, (7.16)
где
- постоянная величина.
Таким образом частота, соответствующая максимальному значению излучательной способности
абсолютно черного тела прямо пропорциональна его абсолютной температуре. Это уравнение выражает закон смещения Вина.
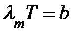
Принимая во внимание соотношение
и полагая
, получим другую форму выражения закона смещения Вина
, (7.17)
где
- постоянная Вина (
). Отсюда следует, что при понижении температуры абсолютно черного тела максимум энергии его смещается в область больших длин волн.
Объект при температуре около 290 К имеет максимум спектральной плотности потока излучения при
≈ 10 мкм, в то время как Солнце, эффективная (кажущаяся) температура которого ~ 6000 К, имеет максимум при
≈ 0,5 мкм (природа сделала отличный выбор - именно эта длина волны является центральной в видимом спектре). Заметим, что жидкий азот (Т = 77 К) имеет максимум при
= 38 мкм.

| Рисунок 7.5.Спектральное распределение плотности потока излучения различных источников 1 ― Солнце, Т ≈ 6000 К; 2 ― излучение черного тела при температуре окружающей среды Т ≈ 290 К; 3 ― излучение черного тела при температуре Т ≈ 77 К. |
Теперь становится понятным, почему при понижении температуры светящихся тел в их спектре все сильнее преобладает длинноволновое излучение - белое каление переходит в красное, а затем вообще не воспринимается глазом.






