Для измерения температуры раскаленных тел, а также светящихся тел, удаленных от наблюдателя на достаточно большие расстояния (например, звезд), нельзя пользоваться обычными методами, основанными на применении термометров расширения, электрических термометров сопротивления и термопар. В этих случаях о температуре тела можно судить только по его излучению.
Совокупность методов измерения высоких температур, основанных на использовании зависимости лучеиспускательной способности исследуемого тела (или его интегральной излучательной способности) от температуры, называется оптической пирометрией. Приборы, применяемые для этой цели, называются пирометрами излучения.
Пирометры излучения бывают двух типов:
- радиационные пирометры,
- оптические пирометры.
Радиационные пирометры и радиационная температура. В радиационных пирометрах регистрируется интегральное тепловое излучение исследуемого нагретого тела. На рис. 7.7 схематически показано устройство радиационного пирометра. Устройство сводится к возможности проектировать изображение источника на приемник аппарата так, чтобы приемник
всегда был полностью покрыт изображением источника и излучение входило в прибор под постоянным телесным углом, определяемым размерами прибора.
При измерениях прибор наводят на более или менее отдаленный источник
достаточного размера при помощи объектива
, позволяющего получить резкое изображение источника на приемнике. Резкость изображения контролируется при помощи окуляра, не показанного на чертеже. При таких условиях, энергия, получаемая пирометром, будет пропорциональна яркости источника независимо от расстояния между ними, подобно тому как это имеет место при рассматривании глазом удаленных светящихся источников. Таким образом, показания пирометра будут зависеть от яркости, а следовательно, и от температуры наблюдаемого черного тела. Проградуировав предварительно пирометр по черному телу с известной температурой, можно использовать его показания для измерения исследуемой температуры.
|
|
|
|
| Рисунок 7.7.Схема радиационного пирометра |
В качестве приемника в радиационных пирометрах чаще всего применяют термопару или болометр. Если исследуется не черное тело, то показания радиационного пирометра дают не истинную его температуру, а так называемую радиационную температуру. Радиационная температура – такая температура абсолютно черного тела, при которой его интегральная излучательная способность (энергетическая светимость)
равна интегральной излучательной способности исследуемого тела
.
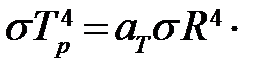
Для абсолютно черного тела:


Отсюда следует
(7.26)
Для серого тела


Откуда
, (7.27)
где Т – истинная температура тела. Так как
, то
.
Пирометр с исчезающей нитью и яркостная температура. Наиболее распространенный способ оптического определения температуры основывается на сравнении излучения нагретого тела в одном определенном спектральном участке
с излучением черного тела с той же длиной волны (или частотой
). Сравнение это с наибольшим удобством осуществляется при помощи пирометра с исчезающей нитью, устроенного следующим образом. В фокусе объектива (рис. 7.8) помещается электрическая лампа
с баллоном из хорошего стекла и с нитью, изогнутой в форме полукруга. Окуляр позволяет наблюдать одновременно среднюю часть нити и изображение поверхности исследуемого источника. Красные стекла
, помещенные между окуляром и глазом, пропускают более или менее монохроматическую часть света, испускаемого источником и нитью.
| Окуляр |
| Объектив |
| L |
| B |
| A |
| R |
| Рисунок 7.8.Пирометр с исчезающей нитью |
Обычно пропускаемая область соответствует
= 0,66 мкм. Лампа питается током от батареи
, регулируемым реостатом
; ток отсчитывается по прецизионному амперметру
. При измерении температуры регулируют ток в нити до тех пор, пока последняя не исчезает на фоне изображения. При этой силе тока, яркости излучения нити и источника для
= 0,66 мкм совпадают и, следовательно, для данного
(или
) совпадают и их излучательные способности.
Если предварительной граидуировкой при помощи наблюдения абсолютно черного тела различной температуры установлено, каким температурам черного тела соответствует исчезновение нити при разных силах тока, то по показаниям амперметра мы получаем возможность судить, какой температуре черного чела соответствует излучение наблюдаемого источника. Если бы источник был также черным телом, то найденная температура была бы его истинной температурой. В противном случае найденная температура характеризует температуру черного тела, имеющего для
= 0,66 мкм ту же яркость, что и излучаемое тело при условиях наблюдения. Поэтому (0) носит название яркостной температуры источника.
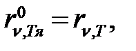
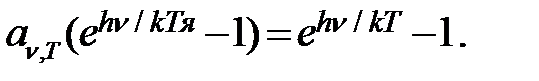
Яркостная температура – такая температура абсолютно черного тела, при которой для определенной частоты его испускательная способность
равна испускательной способности исследуемого тела
, т.е.



Используя формулу Планка (7.25), получим

Для малых значений величин
и
, имеем
. (7.28)
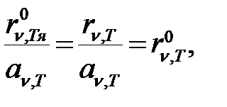
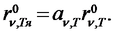
Так как для нечерных (серых) тел
, поэтому
.
Истинная температура тела всегда выше его яркостной температуры.
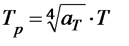
Распределение энергии в спектре излучающего тела и цветовая температура. Существует еще цветовая температура. Цветовая температура – такая температура абсолютно черного тела, при которой для определенной температуры (соответствующей видимой части спектра) распределение энергии в спектре излучения абсолютно черного тела равно распределению энергии в спектре излучения исследуемого тела.
К серым телам применим закон смещения Вина. Поэтому зная длину волны λ max, соответствующую максимальной испускательной способности RT исследуемого тела, можно определить его температуру
. (7.29)
Для серых тел
.
Таким образом, для серых тел цветовая температура исследуемого тела совпадает с истинной температурой.






