Формула Рэлея - Джинса

Из уравнений Максвелла для электромагнитного поля следует, что с энергетической точки зрения черное излучение в замкнутой полости эквивалентно системе бесконечно большого числа не взаимодействующих друг с другом гармонических осцилляторов (так называемых радиационных осцилляторо в). Собственные частоты осциллятора колебаний радиационных осцилляторов равны частотам соответствующих монокристаллических компонент черного излучения.

Применив к исследованию равновесного состояния системы радиационных осцилляторов методы статистической физики, Рэлей и Джинс получили следующее выражение

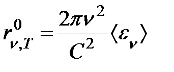
, (7.18)

где - среднее по времени значение энергии осциллятора с собственной частотой при температуре системы . Величина - скорость света.

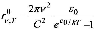
Для нахождения , Рэлей и Джинс воспользовались классическим законом о равномерном распределении энергии между всеми степенями свободы системы, находящейся в термодинамическом равновесии:

, (7.19)

где - постоянная Больцмана.

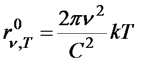
Таким образом излучательная способность АЧТ должна удовлетворять следующему закону Релея-Джинса:


. (7.20)

Эта формула хорошо согласуется с опытными данными в области малых частот излучения . Однако в области больших частот закон Рэлея - Джинса приводит к резкому расхождению с экспериментальными значениями , а также с законом смещения Вина и законом Стефана - Больцмана как показано на рис. 7.6.

По формуле Рэлея-Джинса
Экспериментальные данные

Рисунок 7.6.Сравнение экспериментальных и теоретических результатов

Таким образом работы Рэлея и Джинса ясно показали, что последовательное применение классической физики к исследованию спектрального состава черного излучения дает абсурдные результаты, находящиеся в противоречии с законом сохранения энергии.

Выход из критического положения, создавшегося в проблеме теплового излучения абсолютно черного тела и названного "ультрафиолетовой катастрофой", был указан в 1900 году немецким физиком М. Планком.

Формула Планка

В классической физике предполагается, что энергия любой системы может изменяться непрерывно, принимая любые значения. Планк высказал гипотезу о том, указанная закономерность неприменима к радиационным осцилляторам, а. следовательно, также к атомам и молекулам излучающего тела, обменивающимся энергией с этим осциллятором.

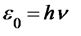
По гипотезе Планка, энергия осциллятора может принимать лишь определенные дискретные значения, равные целому числу элементарных порций энергии , которые он назвал квантами энергии:

, (7.21)

где - любое целое положительное число (). В соответствии с этим излучение и поглощение энергии атомами или молекулами должно происходить не непрерывно, а дискретно, т.е. отдельными порциями (квантами).

Исходя из формулы (7.21) и вычисляя методами классической статистики среднее по времени значение энергии осциллятора, Планк получил следующее выражение:

. (7.22)

Для нахождения излучательной способности абсолютно черного тела необходимо это выражение для подставить в формулу 7.18):

. (7.23)

Сопоставляя это выражение с формулой Вина (7.15), Планк сумел определить величину кванта энергии :


, (7.24)

где - универсальная постоянная (). Подставив это значение в (7.23), получим формулу получим формулу Планка для излучательной способности абсолютно черного тела:


. (7.25)

Эта формула прекрасно согласуется с результатами измерений распределения энергии в спектрах излучения АЧТ при самых различных температурах. Из формулы Планка можно получить закон Стефана-Больцмана и закон смещения Вина.





Подборка статей по вашей теме: