получают ступенчатой полимеризацией (поликонденсацией) меламина с формальдегидом СН2=O (молярное соотношение 1:3).
Меламин и формальдегид реагируют, образуя метилольные производные меламина:

триметилолмеламин
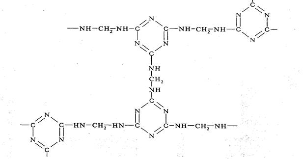
Конденсация метилольных производных меламина с большим количеством меламина приводит к получению линейного водорастворимого полимера. Этот полимер при дальнейшей конденсации с избытком формальдегида образует нерастворимый трехмерный сетчатый полимер.

Смесь меламиноформальдегидных и фенолоформальдегидных полимеров в сочетании с древесным шпоном, целлюлозой, тканью или бумагой
употребляют для производства бумажно-слоистых пластиков и облицовочных плиток. Меламиновые смолы используют также в производстве древесностружечных и древесноволокнистых плит.
Модифицированные меламиноформальдегидные полимеры используются в качестве лаков холодной и горячей сушки, обладающих высокой водо- и атмосферостойкостью. Меламиноформальдегидные полимеры широко применяются для получения водостойкой бумаги.






