Указанные смолы (МФС) получают ступенчатой полимеризацией (поликонденсацией) мочевины (карбамида) H2NC(O)NH2 и формальдегида
сн2=о.

Атомы водорода NH-группы линейного полимера могут далее замещаться метилольными (СН2ОН) группами в присутствии избытка формальдегида:

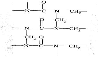
Структура конечного продукта, как и при конденсации ФФС, зависит от соотношения мочевины и формальдегида в исходной смеси. Так, при нагреве линейного полимера в присутствии избытка формальдегида образуется трехмерный сетчатый полимер:

Эти полимеры применяют для получения лаков, клеев, пористых материалов и слоистых пластиков с использованием ткани, бумаги и стеклоткани. Пластические массы на основе МФС называют аминопластами. МФС входят в состав облицовочных и древесностружечных плит, искусственного мрамора (в качестве связующего для цемента и мраморной крошки), термо- и огнестойких пенопластов (мипора), применяющихся в качестве термоизоляционных материалов.






