Аналогично циркуляции вектора напряженности электростатического поля введем циркуляцию вектора магнитной индукции. Циркуляцией вектора В по заданному замкнутому контуру называется интеграл

где d l — вектор элементарной длины контура, направленной вдоль обхода контура, Bl=B cos — составляющая вектора В в направлении касательной к контуру (с учетом выбранного направления обхода), — угол между векторами В и d l.
Закон полного тока для магнитного поля в вакууме (теорема о циркуляции вектора В):
циркуляция вектора В по произвольному замкнутому контуру равна произведению магнитной постоянной 0 на алгебраическую сумму токов, охватываемых этим контуром:
(118.1)
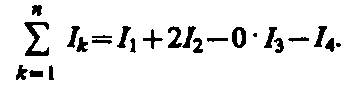
где n — число проводников с токами, охватываемых контуром L произвольной формы. Каждый ток учитывается столько раз, сколько раз он охватывается контуром. Положительным считается ток, направление которого образует с направлением обхода по контуру правовинтовую систему; ток противоположного направления считается отрицательным. Например, для системы токов, изображенных на рис. 173,
|
|
|


Выражение (118.1) справедливо только для поля в вакууме, поскольку, как будет показано ниже, для поля в веществе необходимо учитывать молекулярные токи.
Продемонстрируем справедливость теоремы о циркуляции вектора В на примере магнитного поля прямого тока I, перпендикулярного плоскости чертежа и направленного к нам (рис. 174). Представим себе замкнутый контур в виде окружности радиуса r. В каждой точке этого контура вектор В одинаков по модулю и направлен по касательной к окружности (она является и линией магнитной индукции). Следовательно, циркуляция вектора В равна


Согласно выражению (118.1), получим В 2 r= 0 I (в вакууме), откуда

Таким образом, исходя из теоремы о циркуляции вектора В получили выражение для магнитной индукции поля прямого тока, выведенное выше (см. (110.5)).
Сравнивая выражения (83.3) и (118.1) для циркуляции векторов Е и В, видим, что между ними существует принципиальное различие. Циркуляция вектора Е электростатического поля всегда равна нулю, т. е. электростатическое поле является потенциальным. Циркуляция вектора В магнитного поля не равна нулю. Такое поле называется вихревым.
Теорема о циркуляции вектора В имеет в учении о магнитном поле такое же значение, как теорема Гаусса в электростатике, так как позволяет находить магнитную индукцию поля без применения закона Био - Савара - Лапласа






