Взаимодействие зарядов происходит посредством поля.
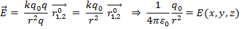
Напряженность электрического поля – это вектор, численно равный отношению силы, действующей на положительный заряд, помещенный в данную точку поля, к заряду:
|
|
|
. 
Размерность напряженности системе СИ: [E] = В/м.
Электрические поля подчиняются принципу суперпозиции: напряженность поля, создаваемого несколькими зарядами, равна векторной сумме напряженностей полей, создаваемых каждым зарядом в отдельности.
Силовые линии – это линии, в каждой точке которых вектор напряженности направлен по касательной.
Разноименные Одноименные
заряды: заряды: 
Система из двух равных и разноимённых зарядов –диполь.






