Из механики нам известна формула элементарной работы:
, где
– проекция вектора
перемещения на направление вектора
. (Заряд
создает поле, в этом поле
перемещается положительный заряд + q.)
Отсюда получаем: 

эта разность зависит только от выбора начальной и конечной точек и не зависит от формы пути.
Физическая величина, численно равная работе по перемещению единичного положительного заряда из одной точки в другую есть разность потенциалов между этимиточками поля.
Т.о. можно говорить о разности потенциалов как о некоторой энергетической характеристике двух точек поля. Если одну из точек можно как-то определить, задать, то все другие точки поля будут иметь однозначные характеристики относительно этой точки.
До этого мы имели дело с интегралом:
, представим теперь, что
,то очевидно.
Тогда:
Тогда получаем: 
Потенциал точки численно равен работе по перемещению единичного положительного заряда из данной точки в бесконечность.
Связь разности потенциалов и напряжённости. Рассмотрим следующее равенство:
. Или:

|
|
|
Градиент потенциала Распишем вектора
:
и
. Подсчитаем их скалярное произведение: 
Таким образом,
– градиент (векторная величина) скалярной величины
. То есть:
. Градиент потенциала показывает направление наибольшего возрастания скалярной величины
. Тогда
показывает направление наибольшего убывания потенциала
.
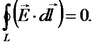
Циркуляция вектора
Если перемещение заряда происходит по произвольной, но замкнутой траектории L, то работа сил Кулона равна нулю. Отсюда следует так называемая теорема о циркуляции вектора
электростатического поля: для любой замкнутой траектории L возможного перемещения заряда в поле
выполняется условие:
| (1.20) |
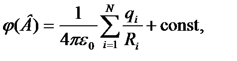
Для потенциала электростатического поля справедлив принцип скалярной суперпозиции: потенциал любой точки поля, создаваемого системой статических зарядов, можно представить в виде алгебраической суммы потенциалов полей, создаваемых отдельными зарядами этой системы:
Это следует из принципа суперпозиции для вектора напряженности. Тогда для потенциал поля, создаваемого совокупностью из N точечных зарядов qi, в вакууме 
|
|
|
го заряда то точки В. Точки поля, в которых потенциал постоянен, образуют эквипотенциали. Силовые линии напряженности перпендикулярны эквипотенциалям. Например, в электролитической ванне можно наблюдать следующее:
Раздел 2. Электрическое поле в веществе.






