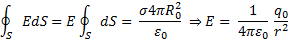
Пример 1: Дано тело сферической формы, заряд распределен равномерно.
Возьмем сферу радиуса
и учитывая то, что есть все основания полагать
пространственную симметричность поля,получим:

То есть поле тела сферической формы, может быть рассчитано как поле точечного заряда такой же величины, помещённого в центре сферы.
Пример 2: Возьмем бесконечную равномерно заряженную плоскость, плотность заряда
.
/м2
|
Пример 3: Изобразим силовые линии между двумя бесконечными
разноименно одинаково по модулю заряженными пластинами,
используя принцип суперпозиции. Участки I и III идентичны и на них напряженность равна нулю:
. На участке II:
Электрическое поле

заключено между бесконечными плоскостями.