В электрических системах конденсаторы могут быть соединены в цепь. Звено такого соединения может быть образовано путем либо последовательного, либо параллельного объединения двух конденсаторов, как это показано на рис. 2.3.
| Рис.. Последовательное (а) и параллельное (б) соединения конденсаторов |
При последовательном соединении конденсаторов с емкостями С 1 и С 2 их обкладки с номерами 2 и 3 соединены проводником и, следовательно, находятся под одним потенциалом
(рис. 2.3,а). При сообщении обкладке с номером 1 первого конденсатора заряда (+ q) на обкладках 2 и 3, представляющих собой один проводник, будут индуцированы заряды (– q) и (+ q) соответственно. Тогда на обкладке 4 должен образоваться заряд (– q).
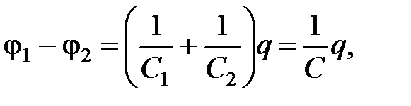
Если j1 – потенциал обкладки 1, а j2 – потенциал обкладки 4, то,

Складывая эти равенства, получим

где С – результирующая емкость двух последовательно соединенных конденсаторов. Таким образом, при последовательном соединении двух конденсаторов их результирующая емкость определяется по формулам:
|
|
|

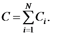
Обобщая на систему из N последовательно соединенных конденсаторов, получим

где Сi – электроемкость i- го конденсатора системы.
При параллельном соединении конденсаторов (рис.,б) их соединенные проводниками обкладки имеют одинаковые потенциалы: j1 – потенциал обкладок 1 и 3, j2 – потенциал обкладок 2 и 4. Тогда по оределению:

Полный заряд двух конденсаторов
откуда результирующая емкость системы из двух параллельно соединенных конденсаторов определяется выражением: С = С 1+ С 2.
Очевидно, что электроемкость системы из N параллельно соединенных конденсаторов: 
|
|
|
|






