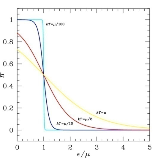
При Т
вероятность заполнения уровней выше уровня Ферми отлична от нуля и при
.
Для полупроводников уровень Ферми располагается в запрещенной зоне и имеет чисто статистический смысл.
2.Равновесие в термодинамических системах с обменом элементами наступает при равенстве температур и химических потенциалов. Тогда уровень Ферми определяет равновесное состояние электронов (фермионов) в кристаллах.
3.Рапределение Ф-Д позволяет найти относительное число электронов в единице объёма с энергиями в заданном интервале.

.распределение переходит в классическое распределение частиц по энергиям типа распределения Максвелла.







