Теплоемкость - количество теплоты необходимое для нагревания тела на один Кельвин 
Удельной теплоемкостью называется величина, числено равная теплоте, которую надо сообщить единице массы тела для повышения его температуры на один Кельвин: 
Отсюда можно определить количество теплоты, необходимое для нагревания вещества, массы m 
Молярная теплоемкость - количество тепла необходимое для нагревания одного моля вещества на один Кельвин 
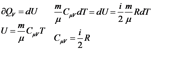
Теплоёмкость при постоянном объёме:

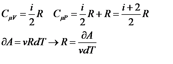
Теплоёмкость при постоянном давлении:

Вывод уравнения Маера:

– газовая постоянная численно равна работе, совершаемой одним молем идеального газа при его изобарном нагреве на один градус кельвина.
Физический смысл уравнения Маера заключается в том, что при изобарном нагревании газа к нему необходимо подвести большее количество теплоты, нежели при таком же изохорном.






