Это процесс, при котором отсутствует теплообмен (
) между системой и окружающей средой. К адиабатическим можно отнести все быстропротекающие процессы.
Из ПНТ (
) для адиабатического процесса следует, что
, (20)
т.е. внешняя работа совершается за счет уменьшения внутренней энергии системы. Учитывая, что
, найдем работу адиабатического расширения газа от объема V1 до V2 (при этом температура газа уменьшается от Т1 до Т2):
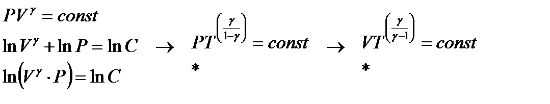
. Можно показать, что для адиабатического процесса
.
Это уравнение называют уравнением адиабаты, g=СP/CV=(i+2)/i - показатель адиабаты, i – число степеней свободы молекулы газа.
Адиабатический процесс:

где γ – показатель адиабаты.
– уравнение Паусона.

Из ПНТ Q=dU+A=0
dU=U2-U1
Q=U2-U1+A=0
dU=-A, U1-U2=A
Внешняя работа совершается за счёт внутренней энергии.
Если A>0, то U уменьшается и наоборот.
Уравнение адиабатического процесса для газа переменных p и V называется уравнением Пуассона.
- p1/p2= (V2/V1)^y
-T1/T2=(V2/V1)^y-1
-P^((1-y)/y)T=const