Явления переноса – необратимый процесс, возникающий при нарушении равновесия в системе, и стремящийся перевести систему в равновесное состояние.
Если на границах системы за счёт внешних воздействий термодинамические параметры поддерживаются постоянными, но не одинаковыми, то процессы переноса будут стационарными.
Потоком физической величины называется количество этой величины проходящее за единицу времени через некоторую поверхность.
Поток - это скалярная величина.
Перенос, физическая величина, происходит благодаря хаотическому движению молекул и он возможен при наличии его grad.
Градиент – вектор, характеризующий изменение величины, при перемещении на единичную длину и направлении в сторону наибольшего возрастания величины.

Длина свободного пробега молекулы — это среднее расстояние (обозначаемое𝜆), которое частица пролетает за время свободного пробега от одного столкновения до следующего.
, где dэф— эффективное сечение молекулы, n — концентрация молекул.
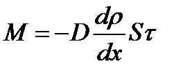
Диффузия – перенос массы:
Процесс выравнивания концентрации, сопровождающийся переносом массы из области с меньшей концентрацией в область с большей.
– закон Фика. 
D – коэффициент диффузии, показывает массу, проходящую через единичную поверхность, за единицу времени, при единичном градиенте плотности.
Зависимость коэффициента диффузии от t выражается следующим выражением.
D=D
exp
; Еакт- энергия активации.
Можно показать, что для газов. 
перенос массы при диффузии происходит в направлении убывании плотности, т. е. вдоль оси ох, если r2>r1 (dr/dx<0).






