
для форматоров-вулканизаторов с одной пресс-формой –

2. Составляющая сила, действующая на плоскость щеки станины:

3. Составляющая сила, действующая параллельно плоскости беговой дорожки щеки:

4. Сила:

где φ2 – угол проецирования, 20 º.
5. Сила:

где φ – угол проецирования, 35º.
6. Сила:

7. Крутящий момент на кривошипном колесе 2:

где RК – см. п. 3.4.
8. Реакции опор в подшипниках:

9. Суммарный момент трения в подшипниках кривошипного колеса и шатуна:

10. Окружное усилие на кривошипном колесе 2:

11. Распорное усилие в зубчатом зацеплении колесо 2 – шестерня 3 или шестерня 7:

12. Момент трения в подшипнике Е шестерни 7:

13. Окружное усилие на зубчатом колесе 8:

14. Распорное усилие в зацеплении колесо 8 – шестерня 3:

15. Момент трения в подшипнике К колеса 8:

16. Момент трения в подшипнике U шестерни 3:

17. Окружное усилие на червячном колесе:

18. Распорное усилие в червячном зацеплении:

19. Момент трения в подшипнике V червячного колеса:

20. Мощность на валу электродвигателя:
для форматоров-вулканизаторов с двумя пресс-формами -
|
|
|

для форматоров-вулканизаторов с одной пресс-формой –

Примечание: см. примечание к п. 1.
Таблица Основные размеры деталей механизмов приводов форматоров-вулканизаторов
| Ф-В | Детали, м | ||||||||||
| Шатун 1 | Кривошипное колесо 2 | ||||||||||
| В | S | L | dK2 | ZK2 | mK2 | bK2 | l1 | l2 | l | RK | |
| 40” | 0,320 | 0,092 | 1,520 | 1,143 | 0,127 | 0,009 | 0,080 | 0,346 | 0,208 | 0,554 | 0,430 |
| 55” | 0,470 | 0,100 | 1,885 | 1,547 | 0,119 | 0,013 | 0,140 | 0,460 | 0,300 | 0,760 | 0,535 |
| 75” | 0,450 | 0,100 | 2,550 | 1,612 | 0,124 | 0,013 | — | — | — | — | 0,560 |
| 88” | — | 0,125 | 3,150 | 1,950 | 0,130 | 0,015 | — | — | — | — | 0,750 |
Таблица Основные размеры деталей механизмов приводов форматоров-вулканизаторов
| Ф-В | Детали, м | |||||||||||
| Шестерня 3 | Шестерня 7 | Зубчатое колесо 8 | ||||||||||
| dШ3 | mШ3 | z Ш3 | b Ш3 | d Ш7 | m Ш7 | z Ш7 | b Ш7 | d K8 | m K8 | z K8 | b K8 | |
| 40” | 0,126 | 0,009 | 0,014 | 0,085 | — | — | — | — | — | — | — | — |
| 55” | 0,260 | 0,013 | 0,020 | 0,145 | 0,200 | 0,008 | 0,025 | 0,105 | 0,672 | 0,008 | 0,084 | 0,085 |
| 75” | 0,260 | 0,013 | 0,020 | — | 0,225 | 0,009 | 0,025 | 0,102 | 0,754 | 0,009 | 0,084 | — |
| 88” | 0,300 | 0,015 | 0,020 | 0,180 | 0,275 | 0,011 | 0,025 | 0,120 | 0,924 | 0,011 | 0,084 | — |
Таблица 3. Основные размеры деталей механизмов приводов форматоров-вулканизаторов
| Ф-В | Подшипники, м | |||||||||||
| A | B | C | D | |||||||||
| dbA | lA | lpA | dbB | lB | lpB | dbC | lC | lpC | dbD | lD | lpD | |
| 40” | 0,140 | 0,065 | 0,055 | 0,260 | 0,110 | 0,098 | 0,160 | 0,098 | 0,0855 | 0,160 | 0,098 | 0,0855 |
| 55” | 0,155 | 0,098 | 0,086 | 0,330 | 0,152 | 0,140 | 0,230 | 0,127 | 0,115 | 0,230 | 0,127 | 0,115 |
| 75” | 0,155 | — | — | 0,330 | — | — | 0,230 | 0,127 | — | 0,230 | 0,127 | — |
| 88” | 0,220 | — | — | 0,400 | — | — | 0,300 | 0,166 | — | 0,300 | 0,166 | — |
Таблица Основные размеры деталей механизмов приводов форматоров-вулканизаторов
| Ф-В | Подшипники, м | |||||||||||
| E | K | U | V | |||||||||
| dbE | lE | lpE | dbK | lK | lpK | dbU | lU | lpU | dbV | lV | lpV | |
| 40” | — | — | — | — | — | — | 0,080 | 0,056 | 0,056 | 0,080 | 0,1385 | 0,1385 |
| 55” | 0,125 | 0,100 | 0,097 | 0,125 | 0,077 | 0,074 | 0,085 | 0,066 | 0,065 | 0,090 | 0,132 | 0,l21 |
| 75” | 0,120 | — | — | — | — | — | 0,085 | — | — | — | — | — |
| 88” | 0,150 | — | — | 0,150 | — | — | 0,110 | — | — | 0,140 | — | — |
2.7.4. Тепловой расчет
Тепловой расчет необходим для определения количества подводимого или отводимого тепла, количества тепло- или хладоагента и для нахождения необходимой поверхности теплообмена.
|
|
|
В основе составления теплового баланса лежит закон сохранения энергии, который в общем виде записывается следующим образом:

При расчете потерь тепла в окружающую среду следует учитывать как конвективные потери, так и потери за счет излучения.
Количество воды определяется по формуле:

Количество пара –

где i и q – энтальпии пара и конденсата при заданном давлении.
Приведем примеры теплового баланса для основного вида оборудования.
Резиносмесители периодического действия
Целью расчета является нахождение расхода охлаждающей воды и проектирование системы охлаждения с такой теплоотдающей поверхностью, чтобы можно было отвести как можно больше теплоты и поддерживать нужную температуру смеси в камере резиносмесителя [3].
Уравнение теплового баланса резиносмесителя можно записать следующим образом:

QN – количество теплоты, выделяющееся в процессе смешения, кВт:

где Nср – средняя потребляемая мощность, кВт;
h – КПД резиносмесителя, 0,8–0,9.
Qпот – количество теплоты отданное в окружающую среду лучеиспусканием и конвекцией,кВт:

где F – площадь теплоотдачи поверхности боковых стенок камеры, м2; С – коэффициент излучения, кВт/м2к4 :

где
aк – коэффициент теплоотдачи конвекцией, кВт/м2к:
для неподвижного воздуха:
;
для движущегося воздуха:
;
Дк – диаметр камеры резиносмесителя, м;
U – скорость движения воздуха, м/с;
tст , tокр – температура стенки камеры, температура окружащей среды соответственно, °С;
QМ – количество теплоты унесенное резиновой смесью, кВт:

где G – производительность резиносмесителя, кг/c;
Cм – удельная теплоемкость смеси, кДж/кгк;
tк , tн – конечная и начальная температуры смеси, °С;
Qв – количество теплоты, уносимое охлаждающей водой, кВт:
.
Расход охлаждающей воды:

где r – плотность воды, кг/м3;
Св – удельная теплоемкость воды, кДж / кг К;
Dt – разность температур охлаждающей воды на выходе и входе в резиносмеситель, °С.
Пример. Рассчитать расход охлаждающей воды в системе охлаждения резиносмесителя РСВД 250–40 при следующих данных: Ncp=690 кВт; h = 0,9; См=1,672 кДж /кг К; начальная и конечная температуры смеси 25 и 1350С; Дк=0,56 м; tокр.среды=250C; tст=800С; Св=4,19 кДж/кг К; Dt=15°С; производительность резиносмесителя 1720 кг/ч.
Решение:Количество теплоты, выделяющееся в процессе смешения:

Количество теплоты, унесенное резиновой смесью:
.
Количество теплоты, отданное в окружающую среду лучеиспусканием:

Количество теплоты, отданное в окружающую среду конвекцией:



Количество теплоты, уносимое охлаждающей водой:
Qв = 621 – (87,9 + 1,12) = 531,98 кВт.
Расход охлаждающей воды:

Вальцы [4, 6, 8, 9]:
Уравнение теплового баланса вальцев можно записать следующим образом:

Тепловой баланс решается аналогично тепловому балансу резиносмесителя периодического действия.
Каландры [19]
Тепловой режим несколько иной, чем у вальцев. Вследствие однократного прохождения материала через зазор массовая производительность велика и количество уносимой смесью теплоты тоже велико. Тепловыделение за счёт работы деформации резиновой смеси на каландре меньше, чем на вальцах. Поэтому каландрование требует подвода тепла к рабочим поверхностям валков.
QN + Qп/в = QM + Qпот,
qN - количество теплоты, выделяемой за счет работы деформации материала:
QN = Nh, [кВт]
где N - средняя потребляемая мощность при работе каландра, кВт;
h - КПД электродвигателя, 0,8-0,9.
qM - количество теплоты, расходуемой на нагрев материала:
qМ = g См (tk- tн), [кВт]
где g – массовая производительность каландра, кг/с;
c M- удельная теплоёмкость смеси, кДж/кг К;
tн,tк - начальная и конечная температуры смеси соответственно, °С
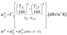
Qпот потери теплоты в окружающую среду конвекцией и лучеиспусканием:
, [кВт]
где t,tcp - температура стенки валка или конечная температура смеси и температура окружающей среды соответственно, °С;
|
|
|
F - общая поверхность теплоотдачи валков, м2:
F=pDLn, [м2]
где n - число валков каландра;
D, L – диаметр и длина валка каландра соответственно, м.
Поверхность валков занятая лентой материала:
, [м2]
где b -утол обхвата резиновой смесью валков каландра.
Поверхность валков свободная от ленты материала:
F2 =F-F1
Рассчитываются коэффициенты теплоотдачи по формулам:
а) для металлической поверхности:
Конвекцией

Лучеиспусканием:
, [
]

где tст - температура стенки валка,°С;
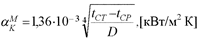
С1 – коэффициент излучения от нагретой поверхности валка, 1,2*10-3 кВт/м2К4.
б) для резиновой смеси:


где С2 – коэффициент излучения от нагретой поверхности валка, 3,86*10-3 кВт/м2К4.

Qп/в – количестве теплоты, подводимой к валку теплоносителем (знак “+”) или отводимое хладагентом (знак “-”):
Qn/в = QM + Q пот - QN, [кВт]
Если необходимо обогревать (знак “+”), то рассчитывается расход пара на обогрев валков:

где Gп – расход пара на обогрев валков, кг/с;
in – ik - скрытая теплота конденсации при выбранном давлении, кДж/кг.
Если необходимо охлаждать (знак “-“), то рассчитывается расход охлаждающей воды:

где r – плотность воды, кг/м3;
Св – удельная теплоемкость воды, кДж / кг К;
Dt – разность температур охлаждающей воды на выходе и входе в валок, °С.
Червячные машины [4, 6, 10, 11, 21]
Уравнение теплового баланса червячной машины (данное уравнение составляется для каждой обогреваемой или охлаждаемой зоны червячной машины и рассчитается расход теплоносителя):
,
где Qмех – количество тепла, выделяемое за счет деформации материала, кВт:

где N – мощность, расходуемая на данную зону, кВт;
h – КПД двигателя.
Qмат – количество тепла, отводимое перерабатываемым материалом, кВт:

где G – производительность ЧМ, кг/с;
См – удельная теплоемкость смеси, кДж /кг град;
t 2, t 1 – температуры смеси соответственно на выходе и входе в зону, 0С.
Qпот – потери тепла в окружающую среду, кВт:
Qпот = Qл + Qк ,
,
где F – площадь излучения, м2;
С – коэффициент излучения, кВт/м2К4;
Тст – температура поверхности излучения данной зоны, К;
|
|
|
Тср – температура окружающей среды, К.

где a – коэффициент теплоотдачи конвекцией, кВт / м2 К;
D – диаметр корпуса или определяющий диаметр головки червячной машины, м;
– количество тепла, подаваемого в данную зону червячной машины:
а) ”–“ – отводимое охлаждающей водой;
б) ”+” – подаваемое греющим паром или греющей водой.
а) Расход греющей или охлаждающей воды:
,
где Св – удельная теплоемкость воды, Св = 4,19 кДж / кг град;
Dt – перепад температур воды на выходе и входе в зону, 5–100С.
Скорость течения воды в канале:
,
где f – площадь сечения канала трубопровода, м2;
r – плотность воды, кг / м3.
б) Если теплоноситель пар, то расход:
,
где (iн – iк) – удельная теплота парообразования при выбранном давлении, кДж / кг, [5, с..532].
Для МЧТ рассчитываются следующие зоны:
1. зона корпуса;
2. зона формования (головки).
Для МЧХ:
1. зона загрузки;
2. зона пластикации;
3. зона дозирования;
4. зона формования (головки).
ПРИМЕр.Рассчитать расход теплоносителей для машины МЧТ-250:
Данные по зоне корпуса: мощность, расходуемая на эту зону (из примера по рсчету мощности – первое и третье слагаемые мощности привода) Z1+3 = 84,852+24,761=109,613[кВт]; определяющий диаметр корпуса Dк=0,3 м; площадь корпуса FК=1 м2; КПД двигателя η=0,8; площадь сечения канала трубопровода в зонах корпуса f=0,002м2; температура смеси на входе t1=50°С; температура смеси на выходе t2=60°С; температура окружающей среды tср=200С; производительность червячной машины – 1063 кг/ч; удельная теплоемкость смеси См= 1,68 кДж / кг×°С;
Данные по зоне головки: площадь головки Fг=0,2 м2; температура смеси на выходе из головки 80°С; мощность, расходуемая на зону головки (из примера по расчету мощности – второе слагаемое мощности привода) Z2=0,273 кВт; определяющий диаметр головки dг = 0,065 м.
РЕШЕНИЕ.
Зона корпуса:
Количество тепла, выделяемое за счет деформации материала:

Количество тепла, уносимое с резиновой смесью:
.
Количество тепла, отдаваемое в окружающую среду нагретой поверхностью корпуса:

Количество тепла, подаваемого в корпус:
.
Знак “–“, значит, тепло нужно отводить.
Расход охлаждающей воды:

Скорость подачи воды:

Зона головки:
Расчет ведем по аналогии.



Знак “+”, значит, тепло нужно подводить.

где
– удельная теплота парообразования при давлении пара Р=0,12 МПа.
Литьевые машины:
Производится тепловой расчет цилиндра нагрева (пластикации) машины [14, 15].
Вулканизационное оборудование:
Тепловой расчет котла [4, 18], форматора-вулканизатора [8, 13, 18, 19, 23], вулканизаторов непрерывного действия [4, 6, 18],вулканизационных прессов [24]
Форматоры-вулканизаторы
Расход теплоносителей при вулканизации покрышек в форматорах-вулканизаторах обуславливается не только количеством тепла, требующегося для обогрева покрышки, но и объемами внутренней полости покрышки и паровой камеры [18].
1. Расход пара на формование автопокрышки:

где nД - количество диафрагм в форматоре-вулканизаторе;
V – объем, заполняемый паром - равен объему диафрагмы (см. табл.), м3;
ν – удельный вес пара при давлении, соответствующем давлению при формовании (берется из справочных данных), кг/м3;
n – число наполнений (для покрышек полудорновой сборки - 2-3; полуплоской – 4 -5);
k – коэффициент учитывающий начальный увеличенный объем диафрагмы, 1,2.
а) количество тепла для нагрева диафрагм и покрышек:

где nД – количество диафрагм;
Gд – вес диафрагмы (см. табл.),кг;
tв, tф – температуры вулканизации и формования из режима вулканизации, ºС;
ср – удельная теплоемкость резины диафрагмы, для БК смоляной вулканизации - 1,672 кДж/кг ºС.
Расход пара:

где (i-g) – скрытая теплота конденсации насыщенного водяного пара, соответствующая давлению греющего пара (из справочных данных), кДж/кг;
Vг – объем заполняемый греющим паром, принимается равным объему диафрагмы, м3;
νг – удельный вес пара при давлении, соответствующем давлению греющего пара (справочная величина), кг/м3.
б) расход пара на обогрев камер, пресс-форм и покрышек с наружной стороны:
Количество тепла на обогрев камер:

где nК – количество паровых камер;
Gк – вес паровой камеры (см. приложение табл. 5), кг;
ск – удельная теплоемкость материала камеры, для стали 0,42 Кдж/кг ºС;
tп, tкн – температуры пара и начальная температура камеры, ºС.
Количество тепла для обогрева прессформ:

где nф – количество пресс-форм в форматоре вулканизаторе;
Gф – вес пресс-форм, кг;
tфн – начальная температура пресс-формы, ºС.
Количество тепла для нагрева автопокрышек:

где nп – количество одновременно вулканизуемых покрышек в форматоре-вулканизаторе;
Gр – вес резины в покрышке, кг;
ср – удельная теплоемкость резины, кДж/кг ºС;
Gт – вес текстиля в покрышке, кг;
ст – удельная теплоемкость текстиля, кДж/кг ºС;
Gр – вес стальных элементов в покрышке, кг;
ср – удельная теплоемкость стали, кДж/кг ºС;
tн – начальная температура покрышки, ºС.
Величины Gр,Gт и Gс – берутся из калькуляции на покрышку, теплоемкости выбираются по справочникам.
Потери в атмосферу:

где nК – количество паровых камер в форматоре-вулканизаторе;
F1, F2 и F3 – площади нижнего основания, боковой стенки и верхнего днища камеры (см. табл. 7), м2;
k1, k2 и k3 – соответствующие коэффициенты теплоотдачи (см. табл. 7), кДж/м2 ч ºС;
tа – температура окружающей среды, ºС;
τц – продолжительность прогрева, мин.
Расход пара:

где (i-g) – скрытая теплота конденсации насыщенного водяного пара, соответствующая давлению греющего пара (из справочных данных), кДж/кг;
V – объем заполняемый греющим паром, принимается равным объему паровой камеры, м3;
ν – удельный вес пара при давлении, соответствующем давлению греющего пара в паровой камере (справочная величина), кг/м3.
3. Расход охлаждающей воды.
Для охлаждения покрышек с наружной стороны через пресс-формы необходимо отобрать от пресс-форм то количество тепла, которое они приобрели во время вулканизации покрышек. С охлаждением форм охлаждаются и паровые камеры. Таким образом, то количество тепла, которое затрачено на нагрев пресс-форм и камер следует отобрать от них, пропуская через камеру охлаждающую воду. При этом покрышки охлаждаются до температуры 80 – 90˚С, но не до 20˚С, которые они имели до вулканизации. Для определения количества отбираемого тепла от пресс-форм и паровых камер можно воспользоваться уравнениями, по которым определялось количество тепла для обогрева. Количество тепла будет то же [18].
Количество тепла, которое следует отобрать от автопокрышки, чтобы охладить её:

где tоп – температура до которой охлаждают покрышку, ºС.
Расход охлаждающей воды:

где ср – удельная теплоемкость воды, кДж/кг ºС;
tок, tон – конечная и начальная температуры охлаждающей воды, ºС.
Циркуляция холодной воды условно можно сравнить с циркуляцией перегретой, т.е. принять, что расход холодной воды в единицу времени будет равен расходу перегретой.
Таблица Вес форм и камер
| Вулканизируемые покрышки | Вес пресс-формы, кг | Вес паровой камеры, кг | |
| Размер | Вес 1 шт., кг | ||
| 5,60-15 | 10,4 | ||
| 6,70-15 | 14,0 | ||
| 8,20-15 | 43,0 | ||
| 8,00-20 | 50,0 | ||
| 8,25-20 | 51,0 | ||
| 12,00-20 | |||
| 15,00-20 | 140,0 | ||
| 11,00-38 |
Таблица Объемы и вес диафрагм форматоров-вулканизаторов
| Тип Форматора-вулканизатора | Размер покрышки | Количество диафрагм | Вес диафрагмы 1шт., кг | Объем диафрагм, м3 | |
| одной | общий | ||||
| 40” | 5.60-15 | 8,2 | 0,0243 | 0,0486 | |
| 6.70-15 | 9,0 | 0,0348 | 0,0696 | ||
| 8.20-15 | 9,7 | 0,055 | 0,110 | ||
| 55” | 8.00-20 | 20,0 | 0,070 | 0,140 | |
| 8.25-20 | 23,0 | 0,074 | 0,148 | ||
| 10.00-20 | 0,1037 | 0,207 | |||
| 75” | 12.00-20 | 29,0 | 0,173 | 0,173 | |
| 15.00-20 | 35,0 | 0,288 | 0,288 | ||
| 11.00-38 | 60,0 | 0,277 | 0,277 |
Таблица Характеристики паровых камер форматоров-вулканизаторов
| Тип форматора-вулканизатора | К1, | К2, | К3, | F1, м2 | F2, м2 | F3, м2 |
| 40” | 8,36 | 12,54 | 104,5 | 0,7 | 1,25 | 1,0 |
| 55” | 8,36 | 12,54 | 104,5 | 1,55 | 2,2 | 1,92 |
| 75” | 8.36 | 12,54 | 104,5 | 3,1 | 4,6 | 4,2 |
ПРИМЕР. Определить расход теплоносителей на вулканизацию покрышек 10.00-20 в форматоре-вулканизаторе 55" по следующей технологии: формование паром под давлением рф = 0,24 МПа, прогрев диафрагм под давлением рг = 1,4 МПа, вулканизация перегретой водой под давлением рп = 2 МПа, температура перегретой воды 180 ºС, охлаждение камеры в конце цикла до 80 ºС. Форматор-вулканизатор имеет две пресс-формы. Остальные данные из таблиц, спецификации на покрышку, калькуляции, режима вулканизации и паспорта на форматор-вулканизатор.
РЕШЕНИЕ.
1. Расход пара на формование автопокрышки:

а) количество тепла для нагрева диафрагм и покрышек:

Расход пара:

б) расход пара на обогрев камер, пресс-форм и покрышек с наружной стороны:
Количество тепла на обогрев камер:

Количество тепла для обогрева прессформ:

Количество тепла для нагрева автопокрышек:

Потери в атмосферу:

Расход пара:

3. Расход охлаждающей воды.
Количество тепла, которое необходимо отобрать от покрышки, что бы охладить ее:

Расход охлаждающей воды:

2.8. Описание устройства и принцип действия
основного оборудования
В этом подразделе дается подробное описание конструкции и принцип действия основного оборудования с указанием позиций, деталей, узлов и механизмов, изображенных на чертежах. Описываются конструктивные изменения, внесенные студентом в совершенствование отдельных узлов или агрегатов, автоматизация режима работы и т.д.
2.9. Химический и физико-механический контроль производства. Виды и причины брака.
В данном подразделе указываются виды и методы контроля, производимые цеховой лабораторией, ОТК или ЦЗЛ. Контролю подлежат сырье, полуфабрикаты и готовые изделия. Методы контроля производятся со ссылкой на ГОСТ или ТУ. Следует указать также виды брака, возможные причины их появления и меры по их устранению.
3. Автоматическое регулирование и управление
производством
Эта часть проекта выполняется под руководством консультанта кафедры НИС. Принципиальная схема автоматизации и управления процессом совместно с технологической схемой. На схеме должны быть показаны точки, где производятся замер и регулирование технологических параметров. В курсовом проекте этот раздел составляет 15% объема пояснительной записки и автоматизации подлежит одно основное оборудование. В дипломном проекте объем данного раздела составляет 10% пояснительной записки и автоматизации подлежит все производство. Дается спецификация приборов, включающая наименование точек замера и регулирования, место установки, типы приборов и их количество. В дипломной работе в этом разделе производится метрологическая проработка и обсчет экспериментальных данных (по объему он составляет 10%).
Регулированию и контролю подлежат следующие параметры процесса.
Смешение:
б) контроль времени смешения;
в) навеска и подача всех ингредиентов;
г) контроль затрачиваемой мощности.
Валковые машины:
а) регулирование температуры валков;
б) регулирование скорости вращение валков каландра;
в) контроль толщины листа;
г) контроль распорного усилия между валками.
Червячные машины:
а) регулирование температуры по зонам;
б) регулирование температуры охлаждения червяка;
в) контроль скорости вращения червяка;
г) контроль потребляемой мощности;
д) контроль давления расплава в формующей головке.
а) регулирование температуры по зонам цилиндра;
б) регулирование температуры по зонам сопла;
в) регулирование температуры формы;
г) регулирование времени выдержки под давлением;
д) регулирование времени выдержки при охлаждении;
е) регулирование времени паузы между циклами;
ж) контроль скорости вращения червяка;
з) контроль давления в гидросистеме узла инжекции;
и) контроль давления в гидросистеме узла смыкания формы.
Вулканизационное оборудование:
а) регулирование температуры плит обогрева;
б) регулирование температуры плит обогрева по зонам;
в) регулирование мощности нагревательных элементов;
г) регулирование времени выдержки при охлаждении;
д) регулирование времени процесса вулканизации;
е) регулирование времени выдержки под давлением;
ж) регулирование давления рабочей жидкости в гидравлической системе;
з) контроль времени открывания;
и) контроль давления воды в диафрагме.
4. Безопасность и экологичность процесса.
Вопросы труда, противопожарной безопасности и экологии связаны с технологическим процессом и выбранным оборудованием. В курсовом проекте промышленная безопасность и экологичность процесса по объему занимает 10% пояснительной записки. В дипломном проекте этот раздел по объему также занимает 10%, и в нем рассматриваются вопросы обеспечения нормативных и санитарно-гигиенических условий производственной среды, электробезопасности, противопожарные мероприятия и средства пожаротушения, экологичность производственного процесса. В дипломной работе описывается экологичность разрабатываемого процесса или продукта и объем этого раздела не должен превышать 10%. Данный раздел выполняется под руководством консультанта кафедры промышленной безопасности.
5. Экономическая часть.
Основными критериями оценки проекта являются его экономические показатели. Цель расчета – экономическое обоснование технических решений, принятых в проекте, которое сводится к определению себестоимости продукции, эффективности производства, его рентабельности. В курсовом проекте технико-экономические показатели даются без сравнения с аналогом, и объем раздела составляет 15%. В дипломном проекте все основные технико-экономические показатели даются в сравнении с аналогом, а объем составляет 10%. В дипломной работе в этом разделе составляется бизнес-план разрабатываемого продукта или процесса.
Данный раздел выполняется под руководством консультанта по экономике.
6. Выводы по проекту.
В этом разделе необходимо дать краткие выводы по проекту, показывающие то новое и ценное, что предлагается в проекте. Следует обязательно подчеркнуть значений этих усовершенствований для повышения экономических показателей, улучшения техники безопасности и т.д. Выводы являются кратким итогом всей проделанной работы, поэтому должны формулироваться четко и ясно.
7. Стандартизация.
В этом разделе указываются все используемые в проекте ГОСТы:
ГОСТ 2.105-79 Общие требования к текстовым документам.
ГОСТ 2.106-68 Текстовые документы.
ГОСТ 7.32-81 Общие требования и правила оформления.
курсовых и дипломных работ.
ГОСТ 2.109-73 Основные требования к чертежам.
ГОСТ 2.104-68 Основные надписи на чертежах.
ГОСТ 2.108-68 Спецификация.
ГОСТ 2.701-84 Схемы, виды, типы: общие требования.
ГОСТ 2.702-75 Правила выполнения схем различных видов.
ГОСТ 2.721-74 Обозначения условные и графические в схемах.
ГОСТ 21.107-78 Условное изображение элементов зданий и конструкций.
ГОСТ 21.108-78 Условное и графическое изображение на чертежах.
ГОСТ 21.404-85 Условное изображение средств автоматизации на схеме общей комбинированной.
ГОСТ 71-84 Правила оформления списка литературы.
8. Список используемой литературы.
Список литературы должен содержать лишь те источники, на которые имеются ссылки в пояснительной записке. Порядковый номер источника должен обязательно соответствовать номеру ссылки в тексте.
В случае ссылки на книги указываются фамилии, инициалы авторов, название книги, город, издательство, год, общее количество страниц (номер страницы, откуда берется ссылка указывается в тексте, например 1, с.123). Например:
1. Догадкин Б.А., Донцов А.А., Шершнев В.Н. Химия эластомеров. М.: Химия, 1981. 376 с.
2. Машины и аппараты резинового производства / Под ред. Д.Г. Барского. М.: Химия, 1975. 285 с.
В случае ссылки на журнал указывается фамилия и инициалы авторов, название статьи, название журнала полностью в общепринятом сокращении, год издания, том, номер, страницы. Например:
Иванов Ю.М., Семенов Л.А. Исследование свойств состава продуктов деструкции ТЭП, образующихся в условиях его переработки // Каучук и резина, 1976. - №9. – с.62-64.
Петров А.И. Передача цепи на мономер // Высокомолек. соед. – 1987. – Т.29А, №10. – с.682-686.
Оформление ссылок на иностранные журналы и книги дается языке оригинала.
При ссылках на патенты и авторские свидетельства указываются авторы, страна, номер, дата выдачи и источник информации.
9. Ведомость проекта.
Указывается структура дипломного проекта, т.е. приводится перечень выполненных чертежей и текстового документа
8 7 70 65 8 8 20
| № строки | формат | обозначение | наименование | Кол-во лис | № экз. | примечание |
| А1 А1 А1 А1 | ПФИ Д 19000000 ПЗ ПФИ Д 19050000 СБ ПФИ Д 19030300 СБ ПФИ Д 19000000 С7 ПФИ Д 19000000 С6 | Текстовая документация Расчетно-пояснительная записка Графическая документация Вулканизационный пресс 250-600 47 Гидроцилиндр Компоновка оборудования Схема общая комбинированная | ||||
Основная надпись по ГОСТ 2.104-68
10. Спецификация графической части.
Приводятся спецификации элементов схемы общей комбинированной и основного аппарата. Примеры выполнения спецификаций будут даны ниже.
Оформление графической части проекта
Графическая часть проекта выполняется на стандартных листах 24 формата (594´841 мм). В случае необходимости можно увеличить чертежи в длину в 1.5; 2; 2.5; 3 раза. Обязательными чертежами являются:
1) технологическая схема производства с приборами контроля и автоматики – 1, 2 листа;
2) чертеж основного аппарата, его узлы и детали – 2 листа;
3) компоновка оборудования - 1 лист;
4) технико-экономические показатели производства – 1 лист.
Чертежи выполняются карандашом. На них допускается применение условных обозначений, которые установлены стандартом.
Графическое оформление технологической схемы
Производства
При выполнении технологической схемы допускается упрощенное изображение конфигурации оборудования с соблюдением пропорциональности размеров. На технологической схеме можно не вычерчивать вспомогательное оборудование. При изображении батареи однотипного оборудования допускается изображение только одного (или первого и последнего по ходу материальных потоков) аппарата. Нумерация оборудования производится по ходу движения материального потока. Схема должна быть выполнена компактно, но без ущерба для ясности и удобства чтения.
На технологической схеме должны быть указаны все материальные линии и направления движения потоков (их направление указывают стрелкой), а также контрольно-измерительные приборы, приборы автоматического контроля и регулирования.
Технологическая схема должна иметь штамп и спецификацию, которая выполняется на отдельном листе 11 формата и подшивается в расчетно-пояснительную записку.
Чертеж основного аппарата
Чертежи основного оборудования, узлов и оснастки выполняются в объеме, установленном руководителем проекта. Чертежи выполняются карандашом. В нижнем правом углу оставляется место для штампа. На чертеже помещается характеристика основного аппарата, которая располагается на свободном месте чертежа, желательно над штампом. Чертеж снабжается спецификацией, которую подшивают к расчетно-пояснительной записке.
Строительно-монтажная схема
К строительно-монтажным чертежам относится компоновка оборудования, изображаются в масштабе основное и вспомогательное оборудование в том количестве, которое получается по расчету.
При размещении оборудования учитываются следующие требования:
а) удобство обслуживания оборудования и возможность демонтажа аппаратов при ремонте;
б) рациональное размещение внутризаводского и внутрицехового транспорта;
в) соблюдение норм техники безопасности, противопожарных и строительных норм, требований естественного освещения, вентиляции. На компоновочном чертеже оборудования нумеруются в соответствии с нумерацией на технологической схеме и привязкой к осям колонн, стенам, здания.
В правом нижнем углу располагается штамп.
Структура заполнения штампа и обозначения документа
Предлагается следующая структура обозначения документов:
ПП Д 12 00 00 00 00
Название производства
Вид проекта (Д-дипломный,
К-курсовой)
Номер темы по списку
Комплексы
Сборочные единицы
Детали
Шифр документа
Обозначение документа является единым как для графической части проекта, так и для расчетно-пояснительной записки.
Каждому производству присваивается условное обозначение: первые буквы обозначают название производства. Например: ПП – подготовительное производство, ПАК – производство автокамер и т.д.
Производство состоит из комплексов. Каждому комплексу присваивается номер от1 до 99. Например, производство автокамер состоит из следующих комплексов: 1 – вальцы; 2 – шприц-машина; 3 – стыковочный станок и т.д. Комплекс состоит из сборочных единиц, которым также присваивается номер от1 до 99. Например, червячная машина имеет следующие сборочные единицы: 01 – головка; 02 – червяк; 03 – цилиндр и т.д. Сборочная единица состоит из стандартных и нестандартных деталей. Каждая нестандартная деталь имеет номер от1 до 99. Например, головка шприц-машины состоит из следующих деталей: 01 – планка нижняя; 02 – планка профилирующая; 03 – конусная гребенка и т.д. Следовательно, одна из деталей головки шприц-машины (например, профилирующая) будет иметь обозначение: ПАК Д12.02.01.02, где 12 – номер проекта студента по списку группы, 02 – червячная машина (комплекс); 01 – головка червячной машины (сборочная единица); 02 – планка профилирующая (деталь).
В конце проставляется соответствующий шифр документа: С6 – схема общая комбинированная; СБ – сборочный чертеж; С7 – чертежи компоновки оборудования; ПЗ – пояснительная записка.
Схемы в зависимости от видов элементов и связей делятся на виды, а в зависимости от основного назначения – на типы. Шифр схемы состоит из букв, определяющих ее вид, и цифры, обозначающий тип. Виды схем обозначаются следующими буквами: Э – электрическая, Г – гидравлическая, П – пневматическая, С – комбинированная.
Аппаратурно-технологическая схема относится к принципиальной. Принципиальная технологическая схема, аппаратурно-технологическая и схема расположения оборудования в целом относятся к комбинированному виду схем.
Например, технологическая схема производства автокамер будет иметь такую основную надпись: ПАК Д12.00.00.00.С6; расчетно-пояснительная записка к проекту – ПАК Д12.00.00.00.ПЗ; сборочный чертеж – ПАК Д12.00.00.00.СБ. Шифр не присваивается обозначению деталей и спецификации.
Примеры заполнения надписей
Пример заполнения основной надписи на чертеже
технологической схемы
| ПАК Д22.00.00.00.С6 | |||||||||||
| Схема общая комбинированная | Лит | Масса | Масш | ||||||||
| Изм | Лист | №докум | Подп | Дата | |||||||
| Разраб | Петров | ||||||||||
| Провер | Иванов | ||||||||||
| ТБ | Павлова | Лист 1 | Листов 3 | ||||||||
| КИП | Клигман | КГТУ каф.СК Гр.59-21 | |||||||||
| Строит | Галеева | ||||||||||
| Утв | Кирпичн. | ||||||||||
Пример заполнения основной надписи
на чертеже строительно-монтажной схем
| ПАК Д22.00.00.00.С7 | |||||||||||
| Строительно-монтажная схема | Лит | Масса | Масш | ||||||||
| Изм | Лист | №докум | Подп | Дата | 1:50 | ||||||
| Разраб | Петров | ||||||||||
| Провер | Иванов | ||||||||||
| ТБ | Павлова | Лист 2 | Листов 3 | ||||||||
| КИП | Клигман | КГТУ каф.СК Гр.59-22 | |||||||||
| Строит | Галеева | ||||||||||
| Утв | Кирпичн. | ||||||||||
Пример заполнения спецификации на чертеже
технологической схемы
| формат | зона | Поз. | Обозначение | Наименование | Кол | Примеч. | |||
| Документация | |||||||||
| ПАК Д22.00.00.00.ПЗ | Расчетно-пояснительная записка | 100 листов 10 рис. | |||||||
| Комплексы | |||||||||
| ПАК Д22.01.00.00.00 | Вальцы | ||||||||
| ПАК Д22.02.00.00.00 | Шприц машина | ||||||||
| ПАК Д22.03.00.00.00 | Транспортер | ||||||||
| ПАК Д22.04.00.00.00 | Стыков.станок | ||||||||
| и т.д. | |||||||||
| ПАК Д22.00.00.00.С6 | |||||||||
| Изм | Лист | №докум | Подп | Дата | Схема общая комбинированная | Лит | Лист | Листов | |
| Разраб | Петров | Т | |||||||
| Провер | Иванов | ||||||||
| ТБ | Павлова |   |






