Естественное освещение

Источником естественного освещения является лучистая энергия солнца. Естественная средняя наружная освещенность в течение года по месяцам и часам резко колеблется, достигая в средней полосе нашей страны максимума в июне и минимума в декабре. Кроме того, в течение суток освещенность сначала возрастает - до 12 ч, затем снижается - в период от 12 до 14 ч и постепенно падает - до 20 ч.

Естественное освещение имеет как положительные, так и отрицательные стороны.

Солнечное излучение сильно влияет на кожу, внутренние органы и ткани и, прежде всего, на центральную нервную систему. Интересно, что это влияние не ограничивается временем, когда человек находится на солнце, а продолжается и после того, как он уходит в помещение или наступает ночь. Медики называют его рефлекторным.

Действие солнечного света начинается с влияния на кожный покров. Незащищенная одеждой кожа человека отражает от 20 до 40 % упавших на нее видимых и ближайших к ним по длине волн невидимых инфракрасных лучей (20% отражает кожа загорелого человека, а 40% - самая незагорелая, белая кожа). Поглощенная часть (60...65 %) лучистой энергии проникает под внешний кожный покров и влияет на более глубокие слои тела.

Ультрафиолетовые и некоторые инфракрасные лучи отражаются кожей в меньшей степени и сильнее поглощаются роговым, более грубым слоем кожи.

У людей, длительное время работающих на Севере, в шахтах, метро или просто в городах в средней полосе России, у тех, которые в дневное время большей частью находятся в помещениях, а по улицам перемещаются на транспорте, развивается солнечное голодание. Дело в том, что обычные оконные стекла зданий в незначительной степени пропускают физиологически активные ультрафиолетовые лучи, а в городах их и без того мало доходит до поверхности Земли в результате загрязнения воздуха пылью, дымом, выхлопными газами.

При солнечном голодании кожа становится бледной, холодной, теряет свежесть. Она плохо снабжается питательными веществами и кислородом. В ней слабее циркулируют кровь и лимфа, из нее плохо выводятся продукты распада шлаки и начинается отравление организма отработанными веществами. Кроме того, капилляры делаются более ломкими, в связи с чем увеличивается склонность к кровоизлияниям.

У тех, кто испытывает солнечное голодание, происходят болезненные, неприятные метаморфозы, затрагивающие как сферу психики, так и физическое состояние. Прежде всего, появляются нарушения деятельности нервной системы: ухудшаются память и сон, усиливается возбудимость у одних и безучастность, заторможенность у других. С ухудшением кальциевого обмена (появлением затруднений при усвоении пищевого кальция и фосфора, которые продолжают выводиться из организма, а следовательно, наступает обеднение тканей этими необходимыми веществами) начинают усиленно разрушаться зубы, увеличивается ломкость костей. Таким образом, при длительном солнечном голодании снижаются умственные способности и работоспособность, очень быстро наступают утомление и раздражение, уменьшается подвижность, ухудшаются возможности борьбы с попадающими в организм микробами (снижается иммунитет). Несомненно, человек, испытывающий солнечное голодание, чаще заболевает простудными и другими инфекционными заболеваниями, и болезнь носит затяжной характер. В этих случаях медленно и плохо заживают переломы, порезы и любые ранения. Появляется склонность к гнойничковым заболеваниям у тех, кто раньше этим не страдал, а также ухудшается течение хронических заболеваний у тех, кто их уже имеет, тяжелее протекают воспалительные процессы, что связанно с повышением проницаемости стенок сосудов, усиливается склонность к отекам.

Учитывая степень благотворного влияния естественного света на организм человека, гигиена труда требует максимального использования естественного освещения. Оно не устраивается только там, где это противопоказано технологическими условиями производства, например, при хранении светочувствительных химикатов и изделий.

Так, солнечное освещение увеличивает производительность труда до 10 %, а создание рационального искусственного освещения - до 13 %, при этом в ряде производств брак снижается до 20…25%. Рациональное освещение обеспечивает психологический комфорт, способствует уменьшению зрительного и общего утомления, снижает опасность производственного травматизма.

По конструктивному исполнению естественное освещение подразделяют на:

- боковое, осуществляемое через оконные проемы, одно- или двустороннее (рис. 4.3 а, б);

- верхнее, когда свет проникает в помещение через аэрационныеили зенитные фонари, проемы в перекрытиях (рис. 4.3 в);

- комбинированное, когда к верхнему освещению добавляетсябоковое (рис. 4.3 г).

а
б

г
в

Рис. 4.3. Виды естественного освещения в зависимости от

конструктивного исполнения:

а, б – боковое; в – верхнее; г – комбинированное

Наиболее эффективно комбинированное естественное освещение, обеспечивающее более равномерное распределение освещенности внутри производственного помещения.

При одностороннем боковом освещении свет в глубине помещения уменьшается. Улучшается освещение при двусторонних боковых проемах. Верхний источник света хорошо освещает пространство в середине пролета и хуже у стен. Применение совместно бокового и верхнего освещения создает более равномерную освещенность по всей ширине пролета здания.

Неравномерность естественного наружного освещения в течение года, а также дня и зависимость освещенности помещения от конструкции световых проемов необходимо учитывать при проектировании естественного освещения и расстановке оборудования в помещении.

Для нормирования параметров производственного освещения необходимо использовать строительные нормы и правила СНиП 23-05-95. Нормы проектирования. Естественное и искусственное освещение.

Нормируемым показателем для естественного освещения является коэффициент естественной освещенности.

Коэффициент естественной освещенности (е)- отношение освещенности в данной точке помещения к освещенности наружной горизонтальной плоскости, освещаемой рассеянным светом всего небосвода в один момент времени

, (4.1)

где Ев, Ен – соответственно освещенность в данной точке рабочего места и освещенность наружной горизонтальной поверхности рассеянным светом всего небосвода в один и тот же момент времени.

Из этой формулы следует, что коэффициент естественного освещения (е) характеризует, во сколько раз освещенность внутри помещения меньше наружной.

Расчет естественного освещения, как правило, сводится к выбору площади и числа оконных проемов производственного помещения.

Суммарная площадь оконных проемов определяется в виде процентного соотношения к площади Sп всего производственного помещения.

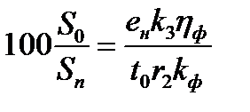
Предварительный расчет площади световых проемов (%) может быть проведен с помощью соотношений:

- при боковом освещении

; (4.2)

- при верхнем освещении

, (4.3)

где ен – нормируемое значение КЕО, %;

k3- коэффициент запаса (1,2…2,0);

h0- световая характеристика окон (6,5…66), зависит от соотношения длины и глубины помещения и высоты расположения оконного проема;

hф - световая характеристика фонаря (1,15…25);

t0- общий коэффициент светопропускания световых проемов (меньше 1);

r1, r2- коэффициенты, учитывающие отраженные составляющие освещенности соответственно от оконного проема и фонаря;

kф- коэффициент, учитывающий тип фонаря;

kзд - коэффициент, учитывающий затенение окон противостоящими зданиями.





Подборка статей по вашей теме: