Производственный шум представляет собой сочетание звуков различной интенсивности и частоты.
Звук как явление физическое представляет собой колебательное движение упругой среды. Физиологически он определяется ощущением, воспринимаемым органом слуха и центральной нервной системы при воздействии на него звуковых волн. Шум или звук характеризуются различными параметрами.
В физическом отношении основными параметрами шума или звука являются:
- частота колебаний звуковой волны, (f);
- интенсивность звука (J);
- звуковое давление, (Р).
Частота звука характеризуется числом колебаний звуковой волны в единицу времени (с) и измеряется в герцах (Гц). Органами слуха человека воспринимаются звуки с частотами от 20 до 20000 Гц, которые называются слышимыми звуками. Звуковые волны с f < 20 Гц называются инфразвуковыми, а волны с f > 20000 Гц ультразвуковыми.
Разность давлений в возмущенной (звуком) и воздушной невозмущенной среде называется звуковым давлением. Единицы измерений звукового давления в Па, Н/м2.
|
|
|
Интенсивность звука - средний поток энергии звуковой волны, проходящий в единицу времени через единицу поверхности, перпендикулярной направлению потока. Интенсивность звука измеряется в ваттах на 1 м2(Вт/м2).
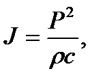
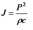
Зависимость интенсивности звука J от звукового давления определяется по формуле
, Вт/м2, (5.1)
где Р - звуковое давление, Н/м2; r- плотность воздуха, кг/см3; с - скорость звука, м/с; rс - волновое сопротивление среды.
Человек способен воспринимать звуки в большом диапазоне интенсивностей. Нижнему порогу слышимости при частоте 1000 Гц соответствует интенсивность 10-12 Вт/м2. При интенсивности звука в 102 Вт/м2 создается ощущение боли в ушах; этот уровень называется порогом болевого ощущения; он превышает порог слышимости в 1014 раз. Поэтому пользоваться абсолютными значениями интенсивности звука и звукового давления крайне неудобно. В акустике принято измерять не абсолютные величины интенсивности звука или звукового давления, а их относительные логарифмические уровни, взятые по отношению к пороговому значению Jo= 10-12 Вт/м2 и Р0= 2×105 Н/м2.
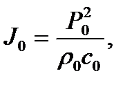
Величина порогового звукового давления Р0, выбрана таким образом, чтобы при нормальных атмосферных условиях (Р=760 мм рт. ст., Т=20 °С) интенсивность звука была равна пороговому значению
Вт/м2. (5.2)
Если интенсивность звука J больше исходной в 10 раз, т.e. J/J0 = 10, то принято считать, что интенсивность звука J превышает исходную на 1 Б (бел); при J/Jo = 100 - превышает на 2 Б и т.д., т.е. уровень интенсивности звука можно определять по формуле
Б. (5.3)
Поскольку органы слуха человека способны различить прирост звука на 0,1 Б, т.е. на 1 дБ (децибел), то эта единица в практике акустических измерений принята как основная.
|
|
|
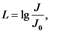
Уровень интенсивности звука определяется по формуле:
дБ (5.4)
Поскольку
то величину уровня звукового давления можно определить по формуле
дБ, (5.5)
где Р и Ро -соответственно действующее и пороговое значение звукового давления, Па.
Уровни звукового давления и интенсивности, выраженные в дБ, являются логарифмическими единицами, и над ними нельзя производить обычные арифметические действия, например, непосредственно складывать.
Рассмотренная логарифмическая шкала уровней звукового давления позволяет оценить лишь физическую характеристику шума, причем построена она таким образом, что пороговое значение звукового давления соответствует порогу слышимости на частоте 1000 Гц.
Органы слуха человека не одинаково чувствительны к звукам различной частоты. Наибольшая чувствительность на средних и высоких частотах (300…4000 Гц) и наименьшая - на низких (20…100 Гц). Поэтому субъективная оценка громкости звука зависит не только от уровня звукового давления, но и от спектрального состава (спектра частот) шума. Для сравнения громкости звуковых волн (шума) различных частот пользуются величиной, которая называется уровнем громкости звука. Уровни громкости измеряются в фонах (безразмерная величина). Фоном называется уровень громкости звука частотой 1000 Гц при уровне звукового давления в дБ. На частоте 1000 Гц уровни громкости приняты равными уровню звукового давления, для других частот они существенно различаются. Для физиологической оценки действия шума используются полученные в результате изучения свойств органов слуха воспринимать звуки различной частоты по субъективному ощущению громкости - кривые равной громкости звуков на различных частотах, так называемые изофоны.
В силу различной восприимчивости органами слуха звуков с равными уровнями звуковых давлений на разных частотах весь частотный диапазон их, ощущаемый слуховым аппаратом, разделяется на 9 октавных полос. Каждая октавная полоса характеризуется граничными и среднегеометрическими частотами. Среднегеометрическая частота определяется по формуле
, (5.6)
где fчн и fчв - соответственно, нижняя и верхняя граничные частоты, Гц.
Совокупность всех уровней звукового деления 9 октавных полос называется предельным спектром.
В современных шумомерах используются две частотные характеристики «А» и «Лин». Первая имеет завал на низких частотах и поэтому имитирует кривую чувствительности уха человека; вторая - практически линейна во всем диапазоне измерения частот. Уровни звукового давления, измеренные по шкале «А» шумомера служат для ориентировочной оценки шума и называются уровнями звука в дБА.






