Анализ производственного травматизма

Анализ травматизма позволяет обоснованно разрабатывать мероприятия по устранению причин несчастных случаев на производстве и определять основные направления работы по дальнейшему повышению безопасности и улучшению условий труда.

Исходными материалами для анализа травматизма являются отчеты государственной статистической отчетности по форме №7 - травматизм, акты о несчастных случаях на производстве по форме Н-1 и документы специального расследования групповых, смертельных и тяжелых несчастных случаев. При анализе используются также сведения о наличии и использовании оборудования, численности работников по профессиям, видам и объемам выполняемых работ, а также материалы проверок и обследований состояния техники безопасности, проведенных органами государственного и ведомственного надзора и контроля, общественными организациями.

На практике применяется ряд методов анализа производственного травматизма: статистический, групповой, топографический, монографический.

Статистический метод анализа основан на систематизации и статистической обработке документов по травматизму. Исходными материалами являются акты по форме Н-1, отчеты по форме 7 - травматизм, журналы регистрации и учета НС, а также данные о численности рабочих, затратах на мероприятия по охране труда и пр.

Для оценки производственного травматизма в статистическом методе пользуются относительными величинами (коэффициентами): показателем частоты травматизма, тяжести травматизма, показателем летальности, показателем опасности производства или потери трудоспособности.

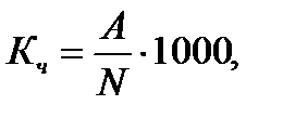
Показателем частоты производственного травматизма принято называть среднее количество НС, приходящихся на 1000 человек работающих. Этот показатель определяется по формуле

(11.1)

где А - число НС за определенный период времени;

N - среднесписочное число работающих в этом периоде.

Коэффициент частоты характеризует уровень травматизма лишь с количественной стороны без учета тяжести и исхода НС. Поэтому наряду с коэффициентами частоты определяется и коэффициент тяжести

(11.2)

где р  - число дней нетрудоспособности по А НС.

Коэффициент тяжести показывает, сколько дней нетрудоспособности в среднем приходится на 1 НС.

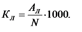
Коэффициент КТ  не учитывает тяжелых и смертельных НС, поэтому в дополнение к нему у нас в стране дописывается число тяжелых и смертельных НС и определяется показатель летальности Кл (число случаев с летальным исходом на 1000 работающих)

(11.3)

Наряду с коэффициентом частоты травматизма определяют также показатель нетрудоспособности или (его иногда называют показатель опасности производства) КН. Он определяется как произведение коэффициента частоты на коэффициент тяжести и показывает число дней нетрудоспособности по всем НС, приходящимся на 1000 работающих

(11.4)

Групповой метод анализа травматизма предусматривает классификацию несчастных случаев по определенным показателям или признакам травматизма.

Основными задачами использования группового метода являются:

- установление наиболее опасных, с точки зрения возможности травмирования, видов работ, технологических процессов и операций, профессий работающих, типов применяемого оборудования и инструмента;

- выявления влияния пола, возраста, производственного стажа работающих, времени года и суток, продолжительности смен на частоту травмирования;

- выявление наиболее типичных травмирующих факторов, характера и анатомической локализации травм, присущих данному виду работ;

- установление территориальной приуроченности несчастных случаев.

При групповом методе анализа несчастные случаи классифицируются по:

- полу, возрасту, стажу работы и профессии пострадавших;

- виду работ, основным технологическим процессам, производственным операциям и элементам работы;

- типу применяемого оборудования, приспособлениям и инструментам;

- времени года;

- травмирующему фактору, непосредственно наносящему травму;

- характеру и анатомической локализации травм;

- месту происшествия несчастного случая;

- причине травматизма.

Топографический метод анализа травматизма основан на графическом изображении с помощью условных значков (индексов) несчастных случаев, происходящих на производстве.

Основные задачи данного метода:

- установить участки работ, агрегаты или отдельные узлы механизма, на которых наиболее часто возникает опасность получения травм работающими;

- выявить опасные зоны, в которых происходят несчастные случаи;

- установить границы опасных зон;

- конкретизировать причины несчастных случаев.

Конкретная цель топографического метода анализа травматизма - разработка рекомендаций по устранению причин несчастных случаев путем локализации опасных зон и участков, выбора и применения более совершенных оградительных и предохранительных устройств на определенных участках работ или типах оборудования, при выполнении строительно-монтажных работ, при разветвленной системе горных выработок и т.п.

Монографический метод анализа травматизма основан на изучении взаимосвязи несчастных случаев с технологией процессов, организацией работ и особенностями эксплуатации оборудования или его отдельных узлов.

Монографический метод позволяет исследовать работу отдельных узлов и деталей оборудования и приемы труда работающих. При этом учитывают скорость, траекторию и зону движения рабочих узлов, валов и других деталей оборудования при выполнении отдельных производственных операций работающими. Особое внимание при монографическом методе анализа уделяют работе узлов оборудования и совмещенным операциям, при выполнении которых в анализируемый период времени произошли несчастные случаи. Следует выяснить, при какой производственной обстановке возможно возникновение опасных моментов и зон, приводящих к травмам работающих.

Основные задачи монографического анализа:

- установить конкретные причины, вызывающие возникновение несчастных случаев;

- выявить нарушения в технологии производственных процессов, неисправности оборудования, отсутствие оградительных и предохранительных устройств, обуславливающих получение работниками травм;

- определить травмирующие факторы несчастных случаев;

- установить границы опасных зон, в пределах которых работники могут получить травму.

Целью монографического метода анализа травматизма являются установление конкретных причин травматизма и разработка рекомендаций организационного и технического характера по предупреждению травматизма при эксплуатации отдельных типов оборудования, безопасному выполнению производственных операций.

Монографический метод труднее и сложнее других методов анализа, и поэтому для его использования необходимы глубокие знания технологии и организации работ; он является наиболее эффективным методом и позволяет полнее и всесторонне изучить причины возникновения несчастных случаев и разработать конкретные меры по их предупреждению.

Данный метод рекомендуется для всех звеньев производственных предприятий, особенно при механизированных и частично механизированных работах.

Анализ травматизма монографическим методом проводят в три этапа:

1. Определение области исследования.

На основании данных группового и топографического методов анализа устанавливают объект исследования - из общего комплекса работ выделяются производственные операции, при которых происходит большая часть несчастных случаев (например, монтаж верхней панели буровой вышки, собираемой в горизонтальном положении), отдельный узел определенного вида оборудования (зажимной патрон токарного станка, буровой сальник и т.д.).

2. Монографическое описание включает:

- монографическое описание работы механизмов, отдельных узлов и деталей, с установлением и замером траектории движения их, а также определением скорости движения и затрат времени;

- монографическое описание приемов труда работников, с установлением места работы, замером траектории движения человека и определением затрат времени;

- описание рабочих мест, используемого оборудования и инструмента;

- изучение конструктивных особенностей применяемого оборудования и инструмента;

- хронометраж процессов работ с определением временной приуроченности приемов труда работающих к движению деталей и узлов оборудования.

3. Анализ данных исследования. На этом этапе исследуют природу возникновения производственных опасностей путем установления опасных зон, их границ и, наконец, влияния конструктивных особенностей оборудования на возможность возникновения опасной ситуации при выполнении конкретной работы.





Подборка статей по вашей теме: