Специальная теория относительности, созданная в 1905 г. А Эйнштейном, стала результатом обобщения и синтеза классической механики Галилея — Ньютона и электродинамики Максвелла — Ло-
1 Эйнштейн А., Инфельд Л. Эволюция физики. — М: Молодая гвардия, 1966. — С. 220.
|
ренца. «Она описывает законы всех физических процессов при скоростях движения, близких к скорости света, но без учета поля тяготения. При уменьшении скоростей движения она сводится к классической механике, которая, таким образом, оказывается ее частным случаем»1.
Если бы были найдены абсолютные пространство и время, а следовательно, и абсолютные скорости, то пришлось бы отказаться от принципа относительности, в соответствии с которым инерциальные системы равноправны. Создатель теории относительности сформулировал обобщенный принцип относительности, который теперь распространяется и на электромагнитные явления, в том числе и на движение света. Этот принцип гласит, что никакими физическими опытами (механическими, электромагнитными и др.), производимыми внутри данной системы отсчета, нельзя установить различие между состояниями покоя и равномерного прямолинейного движения. Классическое сложение скоростей неприменимо для распространения электромагнитных волн, света. «Для всех физических процессов скорость света обладает свойством бесконечной скорости. Для того чтобы сообщить телу скорость, равную скорости света, требуется бесконечное количество энергии, и именно поэтому физически невозможно, чтобы какое-нибудь тело достигло этой скорости. Этот результат был подтвержден измерениями, которые проводились над электронами. Кинетическая энергия точечной массы растет быстрее, нежели квадрат ее скорости, и становится бесконечной для скорости, равной скорости света»2.
|
|
|
Скорость света является предельной скоростью распространения материальных воздействий. Она не может складываться ни с какой скоростью и для всех инерциальных систем оказывается постоянной. Все движущиеся тела на Земле по отношению к скорости света имеют скорость, равную нулю.
1 Еремеева А.И. Астрономическая картина мира и ее творцы. — М.: Наука, 1984. —
С. 157.
2 Рейхенбах Г. Философия пространства и времени. — М.: Наука, 1985. — С. 225.
152
Замечательный русский поэт Л. Мартынов сказал об этом так.
Это почти неподвижности мука, Мчаться куда-то со скоростью звука, Зная при этом, что есть уже где-то Некто, летящий со скоростью света.
И в самом деле, скорость звука всего лишь 340 м/с. Это неподвижность по сравнению со скоростью света.
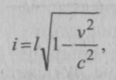
Из этих двух принципов — постоянства скорости света и расширенного принципа относительности Галилея — математически следуют все положения специальной теории относительности (СТО). Если скорость света постоянна для всех инерциальньгх систем, а они все равноправны, то физические величины длины тела, промежутка времени, массы для разных систем отсчета будут различными. Так, длина тела в движущейся системе будет наименьшей по отношению к покоящейся. По формуле:
|
|
|

где i — длина тела в движущейся системе со скоростью К по отношению к неподвижной системе; l — длина тела в покоящейся системе.
Для промежутка же времени, длительности какого-либо процесса — наоборот. Время будет как бы растягиваться, течь медленнее в движущейся системе по отношению к неподвижной, в которой этот процесс будет более быстрым. По формуле:

Еще раз подчеркнем, что эффекты специальной теории относительности будут обнаруживаться при скоростях, близких к световым. При скоростях значительно меньше скорости света формулы СТО переходят в формулы классической механики.
Эйнштейн попытался наглядно показать, как происходит замедление течения времени в движущейся системе по отношению к неподвижной. Представим себе железнодорожную платформу, мимо которой проходит поезд со скоростью, близкой к скорости света (см. рис. 5.1).
В точке Al на платформе находится наблюдатель (или прибор, фиксирующий эксперимент). На полу вагона в точке А размещен фонарик. Когда происходит совмещение точки А в вагоне с точкой А 1на платформе, фонарик включается, появляется луч света. Так как скорость его конечная, хотя и большая, то для того чтобы достигнуть потолка вагона, где расположено зеркало, и отразиться обратно, необходимо время, за которое поезд уйдет вперед.

Для наблюдателя в вагоне луч света пройдет путь 2АВ, а для наблюдателя на платформе — 2АС. Как видно из рисунка, чем больше скорость поезда, тем длиннее линия АС. Очевидно, что 2АС > 2АВ. Это как раз и говорит о замедлении течения времени внутри движущейся системы по отношению к неподвижной.
Необходимо подчеркнуть, что именно в отношении определенных пространственных координат изменяются отрезки длин и промежутки времени. Наблюдатель, находящийся внутри вагона, по своим часам, скажем, ждет полчаса. А по часам наблюдателя на платформе проходит значительно больше времени. Если, например, длина космического корабля в полете уменьшается в два раза с точки зрения наблюдателя на Земле, то при возвращении на Землю корабль сбавляет скорость и его длина становится такой, как и была при отлете.
Время же необратимо. Отсюда известный парадокс близнецов. После путешествия одного из близнецов на ракете, летевшей со скоростью, близкой к скорости света, он с удивлением увидит, что его брат стал старше его. Можно даже рассчитать такой полет.
Представим себе, что с Земли стартовал космический корабль со скоростью 0,99 или 0,98 скорости света и вернулся обратно через 50 лет, прошедших на Земле. Но согласно теории относительности по часам корабля этот полет продолжался бы всего лишь год. Если космонавт, отправившись в полет в возрасте 25 лет, ос-
тавил на Земле только что родившегося сыша, то при встрече 50-летний сын будет приветствовать 26-летнего отца.
Физиологические процессы здесь совершенно ни при чем. Нельзя спрашивать, почему за один год сын космонавта состарился на 50 лет. Теория относительности доказала, что не существует ни абсолютного времени, ни абсолютного пространства. Сын постарел на 50 лет за годы, прожитые на Земле, в системе отсчета корабля время по отношению к Земле другое1.
Релятивистское замедление является экспериментальным фактом. В космических лучах в верхних слоях атмосферы образуются частицы, называемые пи-мезонами, или пионами. Собственное время жизни пионов — 10-8 с. За это время, двигаясь даже со скоростью, почти равной скорости света, они могут пройти не больше чем 300 см. Но приборы их регистрируют. Они проходят путь, равный 30 км, или в 10 000 раз больше, чем для них возможно. Теория относительности так объясняет этот факт: 10-8 с является естественным временем жизни мезона, измеренным по часам, движущимся вместе с мезоном, т.е. покоящимся по отношению к нему. Но в системе отсчета Земли время жизни мезона намного больше, и за это время пионы в состоянии пройти земную атмосферу.
|
|
|
Говоря об относительности пространственных и временных величин в разных системах отсчета, следует помнить, что в теории относительности мы наблюдаем неразрывную связь относительного и абсолютного как одно из проявлений физической симметрии. Поскольку скорость света является абсолютной величиной, то и связь пространства и времени обнаруживается как некоторая абсолютная величина. Она выражается в так называемом пространственно-временном интервале по формуле:
В каждой системе отсчета длина тела и временной промежуток будут различны, а эта величина останется неизменной. Увеличение длины будет соответствовать уменьшению промежутка времени в данной системе, и наоборот.
В общей теории относительности (ОТО), или теории тяготения, Эйнштейн расширяет принцип относительности, распространяя его на неинерциальные системы. В ней он также исходит из экспериментального факта эквивалентности масс инерционных и гравитационных, или эквивалентности инерционных и гравитационных полей.
1 Философия естествознания. — М.: Политиздат, 1966. — С. 173.
155
Правда, принцип эквивалентности справедлив только при строго локальных наблюдениях. Так, представим себе лифт, стоящий на Земле. Наблюдатель в лифте бросает два шара. Они будут двигаться по направлению к центру Земли и, следовательно, друг к другу. Если же мы будем тянуть лифт с ускорением g в пустоте, то те же шары будут двигаться параллельно друг другу (см. рис. 5.2).

Но несмотря на это ограничение, принцип эквивалентности играет важную роль в науке. Мы всегда можем вычислить непосредственно действие сил инерции на любую физическую систему, и это дает нам возможность знать действие поля тяготения, отвлекаясь от его неоднородности, которая часто очень незначительна1.
|
|
|
Расширение принципа относительности на неинерциальные системы, казалось бы, противоречит нашему обыденному опыту. Находясь внутри инерциальной системы, никаким экспериментом нельзя определить, движется она или покоится. Те, кто летал в самолете, знают, что в нем, как и на Земле, можно делать все: пить чай, играть в мячик и т.п. Даже если посмотреть в иллюминатор, то увидишь, что самолет как бы висит неподвижно над облаками. Однако когда самолет начинает сбавлять скорость и идет на посадку, пассажиры сразу же это замечают.
Эйнштейн предлагает провести мысленный эксперимент с лифтом, подвешенным над Землей. Наблюдатели, находящиеся внутри него, не смогут определить в некоторых ситуациях, нахо-
1 Сиама Д. Физические принципы общей теории относительности. — М.: Мир, 1971. - С. 48-49.
дятся они в покое или в движении. Представим себе, что в какой-то момент времени канат, на котором подвешен лифт, обрывается, и наблюдатели в нем оказываются в состоянии свободного падения. В этом случае они не смогут определить, какое из двух противоположных утверждений будет истинным: 1) лифт движется в поле тяготения Земли; 2) лифт покоится в отсутствие поля тяготения. Если же в отсутствие поля тяготения Земли лифт будут тянуть вверх с ускорением g, то наблюдатели также не смогут выбрать истинное утверждение из двух противоположных: 1) лифт покоится в поле тяготения Земли; 2) лифт движется с ускорением в отсутствие поля тяготения.
Какие же следствия для пространства и времени вытекают из общей теории относительности? Для этого нужно обратиться вначале к геометрии, которая возникла прежде всего как учение о физическом пространстве, измерении земельных площадей и строительных сооружений. Но уже в древности появилась теоретическая, аксиоматическая геометрия Евклида, которая оставалась единственной до XIX в. Правда, до конца XIX в. не делалось какого-либо различия между теоретической и физической геометрией.
С геометрией Евклида связывался тот взгляд, что пространство везде одно и то же. Она исходила из пяти аксиом, или постулатов. Многих математиков не удовлетворял пятый постулат, который гласил, что из одной точки на плоскости можно провести только одну прямую, которая не будет пересекаться с данной, сколько бы ее ни продолжали. Этот постулат не был очевиден, так как никто не мог бы его экспериментально подтвердить даже в воображении — нельзя же линию продолжить в бесконечность.
Ряд известных математиков пытались доказать, что этот постулат на самом деле является теоремой, т.е. его можно вывести из четырех других. Но все их попытки оказались неудачными. Они так или иначе неявно предполагали тот же самый пятый постулат. Например, в той форме, что сумма углов треугольника равна двум прямым. Великий математик К. Гаусс первый поставил под сомнение возможность такого доказательства, т.е. признал, что постулат является аксиомой и, следовательно, его можно заменить другими аксиомами, построив новую геометрию. Но он на это не осмелился.
И лишь Н .И. Лобачевский в России, Б. Риман в Германии и Я. Больяй в Венгрии построили новые геометрии, отбросив пятый постулат и заменив его на другие. Б. Риман заменил его на ак-
сиому, что через точку, лежащую вне данной прямой на плоскости, нельзя провести ни одной параллельной, все они будут пересекаться с данной прямой. Н.И. Лобачевский и Я. Больяй допустили, что существует множество прямых, которые не пересекутся с данной прямой.
Для пояснения отличия этих геометрий возьмем пространство двух измерений, поверхность. Евклидова геометрия реализуется на плоскости, Римана — на поверхности сферы, на которой прямая линия выглядит как отрезок дуги большого круга и его центр совпадает с центром сферы. Геометрия Лобачевского осуществляется на так называемой псевдосфере. Поскольку пространство имеет три измерения, то для каждой геометрии вводится понятие кривизны пространства. В евклидовой геометрии кривизна нулевая, у Римана — положительная, у Лобачевского—Больяя — отрицательная.
Поскольку постулат параллельности эквивалентен положению о сумме углов треугольника, то различие этих геометрий наглядно изображается на рисунке. В геометрии Евклида сумма углов треугольника равна 180°, у Римана — она больше, у Лобачевского — меньше (рис. 5.3, а, б, в соответственно).
|
Под кривизной пространства не нужно понимать искривление плоскости наподобие того, как искривлена поверхность евклидовой сферы, где внешняя поверхность отлична от внутренней. Изнутри ее поверхность выглядит вогнутой, извне — выпуклой. Если же брать плоскость в пространстве Лобачевского или Римана, обе ее стороны являются совершенно одинаковыми. Просто внутренняя структура плоскости такова, что мы измеряем ее с помощью некоторого коэффициента «кривизны». Кривизна пространства понимается в науке как отступление его метрики от евклидовой, что точно описывается на языке математики, но не проявляется каким-то наглядным образом.
Риман впоследствии показал единство и непротиворечивость всех неевклидовых геометрий, частным случаем которых является геометрия Евклида.
Создатели геометрий Лобачевский и Риман считали, что только физические эксперименты могут показать, какова геометрия нашего
мира. Эйнштейн в общей теории относительности сделал геометрию физической экспериментальной наукой, которая подтвердила характер пространства Римана. Здесь опять призовем на помощь мысленный эксперимент. Представим себе, что лифт покоится в отсутствие гравитационного поля (см. рис. 5.4, а). В стене лифта сделано отверстие А, через которое луч света падает на его противоположную сторону. Линия АВ — прямая. Пусть теперь лифт начинает движение вверх с ускорением g, т.е. 9,8 м/с2. За время, пока свет проходит расстояние между стенками, лифт смещается вверх, и луч света попадает уже не в точку B, а в точку С (см. рис. 5.4, б).

Линия АС сохраняет свойство быть кратчайшим расстоянием между двумя точками, но это будет уже не прямая, а прямейшая, или геодезическая. На Земле, поверхность которой представляет собой сферу, такие линии и называются геодезическими. Общая теория относительности заменяет закон тяготения Ньютона новым уравнением тяготения. Закон Ньютона получается как предельный случай эйнштейновских уравнений. Рассчитанное теоретически Эйнштейном отклонение луча света было впоследствии экспериментально подтверждено наблюдениями во время солнечного затмения, когда луч света от звезды проходит вблизи поля тяготения Солнца.
В общей теории относительности Эйнштейн доказал, что структура пространства—времени определяется распределением масс материи. Когда корреспондент американской газеты «Нью-Йорк Таймс» спросил Эйнштейна в апреле 1921 г., в чем суть его теории относительности, он ответил: «Суть такова: раньше считали, что если каким-нибудь чудом все материальные вещи
исчезли бы вдруг, то пространство и время остались бы. Согласно же теории относительности вместе с вещами исчезли бы и пространство, и время».