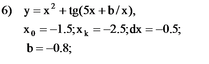
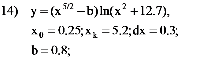
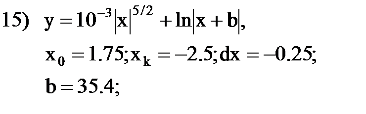
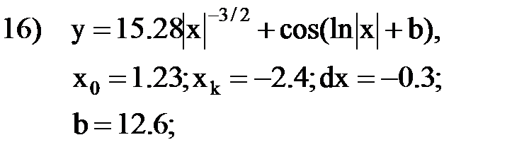
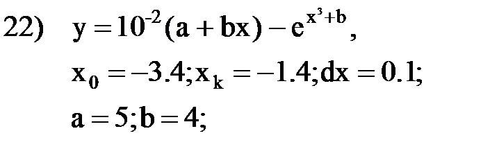
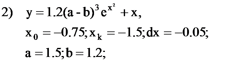
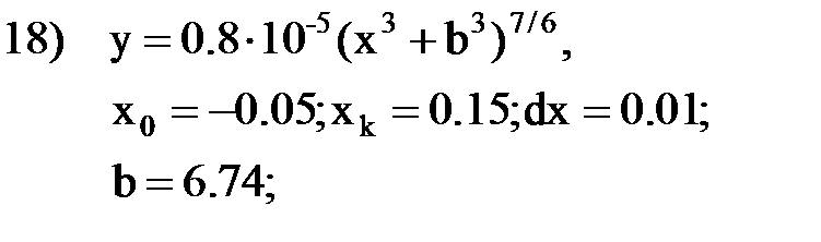
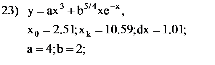
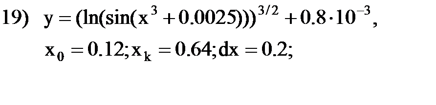
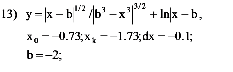
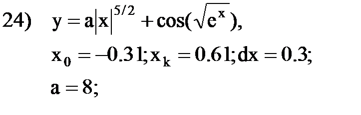
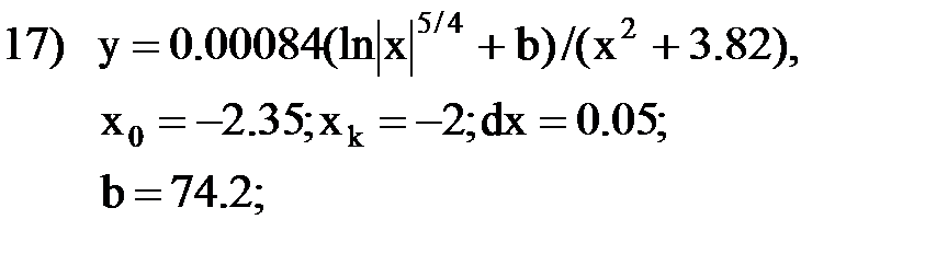
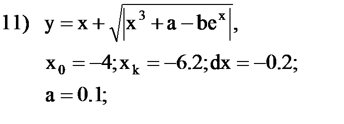
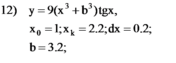
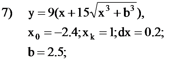
По указанию преподавателя выберите нужный вариант задачи из нижеприведенного списка. Откорректируйте панель диалога и текст программы.
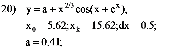
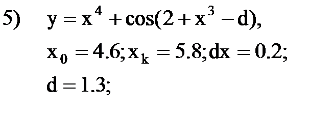
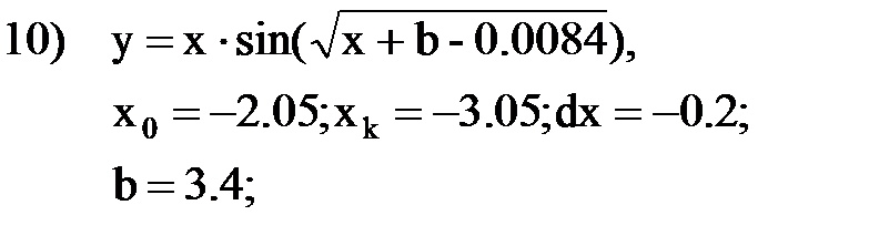
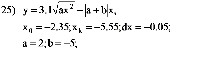
Cоставить программу для табулирования функции y(x), вывести на экран значения x и y(x)
| |
| |
| |
| |
| |
| |
| |
| |
| |
| |
| |
| |
| |
По указанию преподавателя выберите нужный вариант задачи из нижеприведенного списка. Откорректируйте панель диалога и текст программы.
Cоставить программу для табулирования функции y(x), вывести на экран значения x и y(x)
| |
| |
| |
| |
| |
| |
| |
| |
| |
| |
| |
| |
| |
|
|