8-Гидроксихинолин и его производные – 8-гидрокси-5-нитрохинолин (5-НОК) и 8-гидрокси-7-иод-5-хлорхинолин (энтеросептол) – обладают сильным бактерицидным действием и используются как противовоспалительные и антисептические средства.

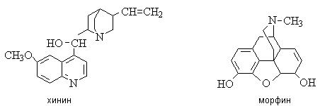
Хинин - алкалоид коры хинного дерева, эффективное противомалярийное средство.
Ядро изохинолина содержится в алкалоидах опия, представляющего собой высохший млечный сок из незрелых коробочек опийного мака. Основной из них — морфин — обладает сильным обезболивающим свойством, однако при длительном употреблении вызывает наркоманию. Морфин был первым алкалоидом, выделенным в чистом виде (1806). Он был назван по имени сына бога сна и сновидений Морфея.
Метиловый эфир морфина — кодеин — обладает противокашлевым действием, а диацетильное производное — героин — наркотик.
Алкалоид опия - папаверин - спазмолитическое и сосудорасширяющее средство.







