Плоская монохроматическая волна – частное решение Уравнений Максвелла. Напряженность электрического поля такой волны описывается выражением:
(3)
– волна распространяется вдоль оси z,
(4)
– волна распространяется в направлении, задаваемом вектором
. Здесь
– волновой вектор, длина которого равна волновому числу, а направление совпадает с направлением распространения волны (т.е. с нормалью к волновому фронту).
В комплексном виде
. (5)
Параметры плоской монохроматической волны. (см. рис 1).
– амплитуда волны, в общем случае, комплексная.
— фаза волны,
– начальная фаза волны,
– циклическая частота волны,
, где
— частота волны (Гц),
, где
– период волны,
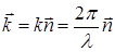
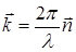
– волновой вектор, направлен в направлении распространения волны (в частном случае – вдоль оси z), перпендикулярно к волновой поверхности (поверхности равных фаз).
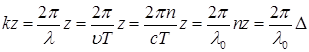
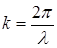
— волновое число,
,
— длина волны или ее пространственный период, υ – фазовая скорость волны (скорость распространения волнового фронта волны)
,
где n - показатель преломления среды,
- длина волны в вакууме,
величина Δ, равная произведению показателя преломления на геометрическую длину пути Δ = nz, называется оптической длиной пути.

Рис. 1
Свойства плоской монохроматической волн ы
1. Волна монохроматическая – колебания напряженностей электрического и магнитного полей происходят на одной частоте, т.е гармонические (по закону sin, cos).
2. Волна плоская – волновая поверхность (поверхность равных фаз, или поверхность постоянной фазы) – плоскость (см. рис 2), т.е. удовлетворяет уравнению плоскости: z=const (в общем случае
). Волновой фронт – это волновая поверхность на границе между возмущенной и невозмущенной частью пространства.
3. Поперечность электромагнитной волны – колебания векторов
и
перпендикулярны направлению распространения волны
( см. рис. 2, 3, 4);

Рис. 2. Волновой фронт (плоскость) и структура плоской монохроматической волны (правая тройка векторов)

Рис.3. Волновой фронт (сфера) и структура сферической монохроматической волны (правая тройка векторов)
4. Правая тройка векторов – векторы
, образуют правую ортогоналъную тройку векторов (cм. рис. 2, 3.);
5. Связь между векторами
и
– синфазность колебаний этих векторов (см. рис. 4);

Рис. 4. Синфазность колебаний напряженностей электрического и магнитного полей
6. Связь между амплитудами векторов
и
:
;(6)
7. Поляризация электромагнитной волны. Поляризация – свойство света, обусловленное поперечностью электромагнитных волн. Поляризация характеризует структуру колебаний вектора напряженности электрического поля в плоскости, перпендикулярной направлению распространения волны (cм. рис. 5). Конец вектора
в этой плоскости может описывать различные фигуры (линию, эллипс, круг). Если с течением времени эти фигуры не изменяются, свет полностью поляризован (линейно, эллиптически, циркулярно). Если состояния поляризации (фигуры) с течением времени изменяются случайным образом, свет не поляризован;

Рис. 5. Состояния поляризации плоской монохроматической волны
8. Интенсивность плоской монохроматической волны пропорциональна квадрату ее амплитуды;
9. Связь между волной и лучом. Световые лучи – это нормали к волновой поверхности (поверхности постоянной фазы волны) (cм. рис 6).

Рис. 6. Волновые поверхности в различные моменты времени и световые лучи:
в случае плоской (cлева) и сферической (справа) волн






