используется вектор
, а не 
Выражение интенсивности света через вектор
, а не
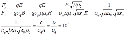
, имеет физический смысл. Сравним действие электрического и магнитного полей на заряд q, определяемого силами Лоренца (см. рис. 7): силой электрического поля
и магнитного поля –
, где
- скорость движения заряда, а
вектор индукции магнитного поля.

Рис. 7. Силы, действующие на заряженную частицу со стороны электрического и магнитного полей
, (8)
где
- фазовая скорость волны.






