Рассмотрим в приближении малости сил трения, как связаны силы и моменты, действующие на рули четырех стабилизаторов дирижабля сигарообразной формы.
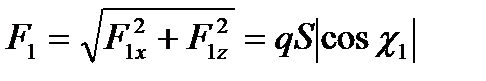
Если пренебречь силой трения стабилизатора, т.е. считать
, то, как показано ранее, сила потока, воздействующая на стабилизатор, будет определяться только силами нормального давления, действующими перпендикулярно площадке стабилизатора. Поэтому для случая отклоненного верхнего стабилизатора (см. рис.2.14) на основании формулы (2.89) получим:
,
,
(верхний знак берется при отклоненном верхнем руле согласно рисунку, иначе - нижний),
, где выражение для
определим, если учтем, что нормаль
к поверхности верхнего руля в системе
имеет координаты
. Следовательно,
.
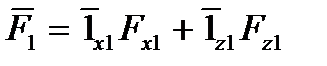
Соответствующие моменты, порождаемые силой
, равны
,
,
,
- координата по оси OX переднего края (ближайшего к точке O) руля стабилизатора,
, где предполагается положительный знак момента сил при условии, если вращение вектора силы, если смотреть с конца данной оси, совершается против часовой стрелки.
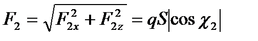
Для отклоненного нижнего руля на угол
, согласно (2.89) получим:
,
,
,
,
,
,
, где
.
Рассмотрим теперь отклонение руля левого стабилизатора на угол
, см. рис.2.15.
Рис.2.14 – Случай отклонения руля направления Рис.2.15 – Случай отклонения руля высоты
Учтем, что нормаль к поверхности правого руля в системе координат
имеет координаты
. Поэтому
.
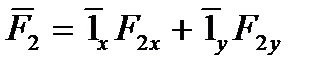
Для силы
получим:
,
,
(минус берется для угла отклонения
, соответствующего рисунку, иначе - плюс),
.
Соответствующие моменты, порождаемые силой
, равны
,
,
,
,
.
Для отклоненного левого стабилизатора будем иметь:
,
,
,
,
,
,
,
.






