Рассмотрим дирижабль с корпусом сигарообразной формы (рис.2.17), длиной
, удлинением
и объемом оболочки
. Заданы габариты стабилизаторов.
Дирижабль имеет четыре стабилизатора, возможно управление за счет управляемого вектора тяги.
Определяющая система уравнений
Математическая модель дирижабля с корпусом сигарообразной формы в приближении твердого тела без учета деформаций определяется полностью тремя системами уравнений, входящими в общее матричное уравнение
(2.48) – уравнениями кинематики и динамики, системой уравнений,
связывающей скорости изменения управляемых координат
с компонентами вектора управляющих воздействий
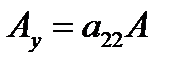
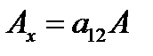
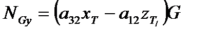
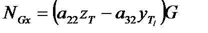
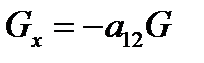
. Для определения компонент статических сил тяжести и Архимеда и порождаемых ими моментов используются выражения
,
,
,
, (2.27)
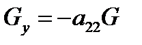
,
,
, (2.28)
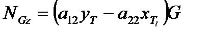
,
,
,
, (2.29).
Наконец, для определения аэродинамической силы за счет отклонения рулей управления и соответствующего момента используются виртуальная продувка.






