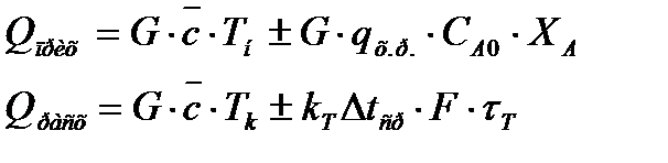
Изменение температуры в политермическом реакторе определяется величиной и знаком теплового эффекта, также начальной концентрацией и степенью превращения, количеством теплоты, подводимой и отводимой из зоны реакции. Изменение температуры рассчитывается по уравнениям теплового баланса реактора, которые учитывают приход теплоты с реагентами, теплоту реакции, теплообмен с окружающей средой и вынос теплоты с продуктами реакции. Тепловой баланс складывается из следующих величин:

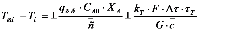
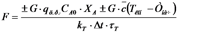
где кТ – коэффициент теплопередачи; F – поверхность теплопередачи; Δtср – средняя движущая сила теплопередачи; τТ – время контакта с поверхностью теплопередачи F.
Изменение температуры в реакторе рассчитывают по уравнению:

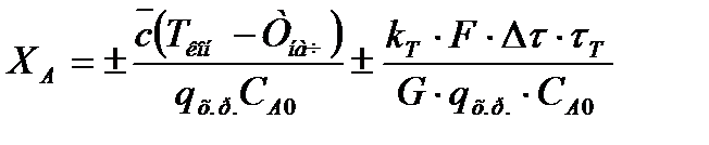
Степень превращения:


Применение: политермический режим наблюдается в реакторах, в которых тепловой эффект лишь частично будет компенсироваться за счет тепловых эффектов различных побочных реакций и физических процессов (шахты, доменные печи).
|
|
|
Сложный политермический режим наблюдается в насадочных башнях для сорбционных и десорбционных процессов, т.к. процессы абсорбции сопровождаются теплообменом между газом и жидкостью, возможным испарением растворителя в нижней части башни с последующей конденсацией в верхних участках башни.






