| Группы коров по надою за год, кг хj | Число Коров fj | Середина интервала, кг, x’j |
|
|
| 3000 – 3400 43 3200 - 8 - 344 3400 - 3800 71 3600 - 4 - 284 3800-4200 102 4000 0 0 4200-4600 64 4400 4 256 4600 - 5000 27 4800 8 216 | ||||
| Итого 307 - - -156 |
83
Средний надой молока на корову находим так:

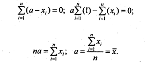
5. Сумма квадратов отклонений индивидуальных значений признака от средней арифметической меньше, чем от любого другого числа.
Доказательство. Составим сумму квадратов отклонений от переменной а:

Чтобы найти экстремум этой функции, нужно ее производную по а приравнять нулю:

Отсюда имеем:

Таким образом, экстремум суммы квадратов отклонений достигается при а = х. Так как логически ясно, что максимума функция не может иметь, этот экстремум является минимумом.






