Знание некоторых математических свойств средней арифметической полезно как при ее использовании, так и при ее расчете.
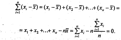
1. Сумма отклонений индивидуальных значений признака от его среднего значения равна нулю.
Доказательство:

Примечание. Для взвешенной средней сумма взвешенных отклонений равна нулю.
Попробуйте доказать это самостоятельно.
2. Если каждое индивидуальное значение признака умножить или разделить на постоянное число, то и средняя увеличится или уменьшится во столько же раз.
Доказательство:

Вследствие этого свойства индивидуальные значения признака можно сократить в с раз, произвести расчет средней и результат умножить на с.
3. Если к каждому индивидуальному значению признака прибавить или из каждого значения вычесть постоянное число, то средняя величина возрастет или уменьшится на это же число.
Доказательство:

Это свойство полезно использовать при расчете средней величи-ны из многозначных и слабоварьирующих значений признака, например роста группы лиц: х1 = 179 см; х2 = 183 см; х3 = 171 см; х4 = 180 см; х 5= 169 см. Для вычисления среднего роста из каждого значения вычитаем 170 см и находим среднюю из остатков:
|
|
|
(9+ 13 + 1 + 10 - 1): 5 = 6,4. Средний рост = 6,4 + 170 = 176,4 см.
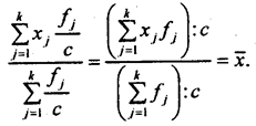
4. Если веса средней взвешенной умножить или разделить на постоянное число, средняя величина не изменится.
Доказательство:

Используя это свойство, при расчетах следует сокращать веса на их общий сомножитель либо выражать многозначные числа весов в более крупных единицах измерения.
В табл. 5.4 приведен пример комплексного использования свойств средней арифметической для облегчения расчетов.
Таблица 5.4






