| Продолжитель-ность оборота средств в днях | Число малых предприятий | Середина интервала, дни | Средняя прибыль, млн руб. | Изменение средней прибыли, млн руб. |
| х | nj | xj’ | y̅j | y̅j - y̅j-1 |
| 20 - 30 | 14,57 | - | ||
| 31 -50 | 12,95 | - 1,62 | ||
| 51 - 80 | 7,40 | - 5.55 | ||
| Итого | 11,77 | × |
В примере средняя прибыль изменяется от группы к группе, следовательно, связь между оборачиваемостью и прибылью существует, причем обратная: чем медленнее оборачиваются оборотные средства, тем меньше прибыль.
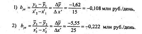
Рассчитаем, насколько снижается прибыль при замедлении оборачиваемости от 40-50 до 51-70 дней и при замедлении оборачиваемости от 51-70 до 71-101 дня:

Полученные значения показывают величину снижения прибыли при замедлении оборачиваемости на 1 день. Такие показатели называются показателями силы связи. Различие в их значениях свидетельствует, что сила влияния оборачиваемости на прибыль не является постоянной - она возрастает при сроках оборачиваемости свыше 50 дней, т.е. связь признаков нелинейная.
|
|
|
В случае линейной связи важным показателем является характеристика средней силы связи:

где y̅m, y̅l - средние значения результативного признака в последней и первой группах соответственно; х'm, x’l - середины интервалов (или средние значения) факторного признака в последней и первой группах. В случае прямой связи byx > 0, обратной – byx < 0. По данным табл. 6.5

Для нелинейной связи показатель средней силы связи не имеет значения (или имеет ограниченное значение).
По аналитической группировке можно измерить связь с помощью еще одного показателя: эмпирического корреляционного отношения. Этот, показатель обозначается греческой буквой h (эта). Он основан на правиле разложения дисперсии, согласно которому общая дисперсия s2 равна сумме внутригрупповой и межгрупповой дисперсий.
Дисперсия результативного признака внутри группы при относительном постоянстве признака-фактора возникает за счет других факторов (не связанных с изучаемым). Эта дисперсия называется остаточной (та колеблемость, которая осталась при закреплении изучаемого фактора х). Она определяется по формуле:

где уij - значение признака у для i-й единицы в j -й группе;
у̅j - среднее значение признака у ву-й группе;
nj - число единиц ву-й группе;
j = 1, 2, 3,..., т.
Внутригрупповые дисперсии, рассчитанные для отдельных групп, объединяются в средней величине внутригрупповой дисперсии:

Межгрупповая дисперсия относится на счет изучаемого фактора (и факторов, связанных с ним), поэтому эта дисперсия называется факторной. Она определяется по формуле

Правило сложения дисперсий может быть записано:
|
|
|

или

Эмпирическое корреляционное отношение измеряет, какую часть общей колеблемости результативного признака вызывает изучаемый фактор. Соответственно оно рассчитывается как отношение факторной дисперсии к общей дисперсии результативного признака:


Этот показатель принимает значения в интервале [0,1]: чем ближе к 1, тем теснее связь, и наоборот.
По данным табл. 6.6 этот показатель равен h = 0,881, связь тесная.
Для изучения влияния нескольких факторов на результат проводится многофакторная аналитическая группировка. Она строится как комбинационная группировка по признакам-факторам, и для каждой подгруппы рассчитывается среднее значение результативного признака.
Обратимся к рассмотренному выше примеру, который дополним вторым фактором формирования прибыли - величиной запаса оборотных средств (г); по этому фактору выделены три группы (табл. 6.7).
Таблица 6.7






