| Средний запас оборотных средств, млн руб. | Оборачиваемость в днях | Число предприятий | Средняя прибыль, млн руб. | Колеблемость прибыли по группам |
| zk | xj | njk | yjk | (y̅jk - y̅)2∙njk |
| 55-85 | 20 - 30 31 - 50 51 -80 | 11,00 10,85 7,05 | 0,5929 1,6928 22,2784 | |
| 85 - 115 | 20-30 31 -50 51 -80 | 11,85 11,90 5,75 | 0,0128 0,0676 72,4808 | |
| 115- 145 | 20-30 31 -50 51-80 | 17,60 17,00 8,62 | 101,9667 54,7058 29,7675 | |
| Итого | X | 11,77 | 283,5653 |
Эта группировка позволяет проследить колеблемость прибыли под влиянием двух факторов. Конечно, уверенность нашего заключения е, том, что прибыль изменяется от группы к группе именно за счет изменений запаса оборотных средств и скорости их обращения, зависит от того, насколько обеспечено погашение влияния прочих факторов, т.е. от числа единиц в подгруппах (Ид). В данном примере наполненность групп недостаточна для того, чтобы выявить «чистое» влияние изучаемых факторов.
При njk > 5 многjфакторная аналитическая группировка позволяет измерить силу связи между результатом и одним из факторов при постоянстве второго фактора, т.е. получить так называемые частные (или чистые) показатели силы связи.
По данным табл. 6.7 рассчитаны показатели силы связи между прибылью и оборачиваемостью при закреплении уровня запасов оборотных средств. Таких показателей три (по числу групп по фактору z):

Точно так же могут быть вычислены показатели силы связи между прибылью и запасом оборотных средств при закреплении оборачиваемости:

Чистое влияние первого фактора (обратное) возрастает при увеличении уровня закрепленного фактора (величины запасов оборотных средств), а второго - снижается.
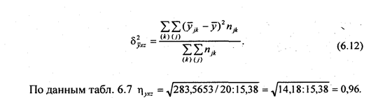
Можно рассчитать и показатель множественной тесноты связи -совокупное эмпирическое корреляционное отношение. Для трех признаков, как в нашем примере, его формула следующая:.

Так же как и показатель парной связи, hxyz принимает значение в интервале [0,1]. В числителе подкоренного выражения находится факторная дисперсия результативного признака:

Можно с некоторыми оговорками заключить, что на 92% (0,962) вариация прибыли в этой совокупности предприятий определяется вариацией изучаемых факторов.
Многофакторная аналитическая группировка — очень гибкий прием изучения связей. Она позволяет уловить влияние факторов на результат с изменением условий (закреплением прочих факторов на разных уровнях).
Однако при всех отмеченных плюсах этот метод имеет огромный минус - дробление совокупности, в результате чего выделяются подгруппы с малым числом единиц. В этом случае средние значения результативного признака неустойчивы, не достигается погашение прочих факторов, соответственно, ненадежными становятся и показатели связи. Но если совокупность большого объема и распределение признаков-факторов не являются крайне асимметричными, этот метод, как никакой другой, позволяет получить много информации об отношениях между переменными.
В какой-то мере избежать дробления данных и при этом получить «чистые» характеристики связей между переменными позволяет применение метода стандартизации распределений в комбинационной таблице. Если в группах по одной переменной, скажем, по г в табл. 6.7, распределение по другой переменной х принять стандартным и на его основе рассчитать групповые средние величины результативного признака, то они будут отличаться за счет принадлежности к разным группам по признаку z при элиминировании признака х. В качестве стандартного применяется распределение в целом по совокупности. Так, по данным табл. 6.7 стандартное распределение по х следующее:
x1 - 6 ед., х2 - 8 ед., х3 - 6 ед. или в относительном выражении: 0,3; 0,4; 0,3. Тогда средняя прибыль при заданном значении переменной z при стандартизации распределения по переменнбй х равна:
в первой группе:

во второй группе:

в третьей группе:

На основе полученных стандартизованных средних можно рассчитать показатели «чистой» связи между величиной прибыли и средним запасом оборотных средств. Попробуйте сделать такой расчет. Стандартизация распределения по переменной z, расчет стандартизованных средних результативного признака и показателей «чистой» связи между у и х при элиминировании z проводится аналогично. Заметим, что рассмотренные приемы анализа не входят пока в ППП для ЭВМ. Возможно, это сделает кто-то из вас.






