среднедушевому денежному доходу*
(%)
| Среднедушевой денежный доход в месяц, тыс. руб. | ||
| 400 и менее | 47,4 | 25,3 |
| 400,1 - 600,0 | 22,3 | 22,4 |
| 600,1 - 800,0 | 12.6 | 16,9 |
| 800,1 - 1000,0 | 7,1 | 11,5 |
| 1000,1 - 1200,0 | 4,0 | 7,6 |
| 1200,1 - 1600,0 | 3,9 | 8,4 |
| 1600,1 -2000,0 | 1.5 | 3,9 |
| Свыше 2000,0 | 1,2 | 4,0 |
| Всего | ||
| *Источник. Российский статистический ежегодник. 1977. – М.: Госкомстат России, 1997. – С. 139. |
Структурная группировка характеризует структуру совокупности по какому-либо одному признаку. Пример такой группировки представлен в табл. 6.5.
Если для типологической группировки чаще используются открытые и неравные ин-тервалы, то для структурной группировки более характерны закрытые равные интервалы. Структурная группировка позволяет изучать интенсивность вариации группировочного признака (см. гл. 5). На основе структурной группировки можно изучать динамику структуры совокупности.
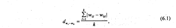
Если известны структурные характеристики совокупности в одном и другом периодах: wi0 и wi1 – доли i-й группы в период «0» и в период «1», то можно рассчитать показатель среднего абсолютного изменения структуры:

где k — число групп.
Другой сводный показатель абсолютных структурных сдвигов строи гся на основе формулы среднего квадратического отклонения:

Если показатели структуры выразить не в долях, а в процентах, то, так же как и первый показатель, квадратичный коэффициент абсолютных структурных сдвигов оценивает на сколько процентных пунктов в среднем различаются удельные веса отдельных групп сравниваемых структур. При отсутствии структурных сдвигов оба эти показателя равны нулю; их величина тем больше, чем значительнее абсолютные изменения удельных весов групп. Квадратичный коэффициент более чутко реагирует на структурные изменения. Существуют и другие показатели для измерения структурных сдвигов (см., например, индекс структуры в гл. 10). При сравнениях предполагается, что число групп в одном и другом периодах остается одним и тем же. По данным табл. 6.5,
процентных пункта.
Деление группировок на типологические и структурные достаточно условие. Если задать, например, границы среднедушевого дохода, соответствующие определенным типам благосостояния, то можно с полным правом назвать группировку типологической.
Аналитическая группировка характеризует взаимосвязь между двумя и более признаками, из которых один рассматривается как результат, другой (другие) — как фактор (факторы).
Пример однофакторной аналитической группировки представлен в табл. 6.6.
В данном примере оборачиваемость в днях - фактор, обозначенный х, прибыль - результат - у. Очевидно, что при одном и том же сроке оборота предприятия могут иметь разную прибыль. Чтобы установить связь между признаками, данные группируются по признаку-фактору. Затем по каждой группе рассчитывается среднее значение результата. По обобщенным данным гораздо легче увидеть, есть связь между признаками или нет, прямая связь или обратная, линейная или нелинейная. Эти выводы делаются через сопоставление изменений средних значений результата по группам с изменениями фактора. Чтобы эти изменения были сравнимыми, следует проводить группировку с равными интервалами или рассчитывать изменения результата наединицу изменений фактора.
Таблица 6.6






