Уравнение регрессии в форме гиперболы имеет следующий вид:

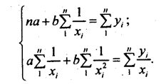
Если величина Ъ положительна, то при увеличении значений факторного признака х значения результативного признака уменьшаются, причем это уменьшение все время замедляется, и при х -> оо средняя величина признака у будет равна а. Если же параметр Ь отрицателен, то значения результативного признака с ростом фактора возрастают, причем- их рост замедляется, и в пределе при х ® ¥ у̃ = а. Таким образом, гиперболические зависимости характерны для связей, в которых результативный признак не может варьировать неограниченно, его вариация имеет односторонний предел. Например, при освоении нового оборудования его производительность возрастет, но рост замедлится по мере приближения к конструктивно-технологическому пределу производственной мощности агрегата. Совершенствуя двигатель, можно увеличивать его КПД, но тоже не выше предела, допускаемого данным видом преобразования энергии. Таков же характер связи между уровнем душевого дохода х в семье и долей семей, имеющих телевизоры, у; он приближен к пределу (100%) в наиболее обеспеченной группе семей. Нормальные уравнения метода наименьших квадратов для гиперболы таковы:
|
|
|

Легко видеть, что эти уравнения, по существу, те же, что и для линейной связи. Линеаризация гиперболического уравнения достигается заменой 1/ х на новую переменную, которую можно обозначить z. Тогда уравнение (8.27) примет вид ỹ = а + bz. Это и следует cделать, вычисляя гиперболу на компьютере, если программа для него не предусматривает автоматического вычисления гиперболических регрессий.
В качестве примера расчета уравнения гиперболической связи рассмотрим влияние среднесуточного прироста живой массы крупного рогатого скота на откорме на себестоимость прироста живой массы в совокупности предприятий области, занимавшихся откормом скота (табл. 8.6).

где х в сотнях граммов
Таблиц а 8.6






