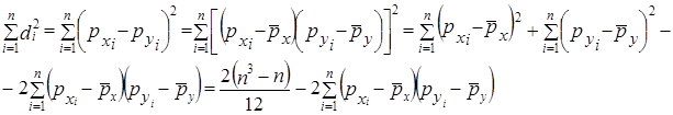
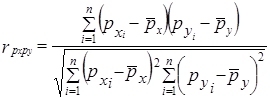
К мерам тесноты парной связи относится и предложенный английским психологом Ч. Спирменом (1863 - 1945) коэффициент корреляции рангов. Ранги - это порядковые номера единиц совокупности в ранжированном ряду. Если проранжировать совокупность по двум признакам, связь между которыми изучается, то полное совпадение рангов означает максимально тесную прямую связь, а полная противоположность рангов - максимально тесную обратную связь. Ранжировать оба признака необходимо в одном и том же порядке: либо от меньших значений признака к большим, либо наоборот. Если ранги единиц совокупности по признакам х и у обозначить какр^,, р,, то коэффициент корреляции рангов согласно (8.11) имеет вид:
, (8.24)
где р̅x = р̅y - средние ранги в ряду натуральных чисел от 1 до п, равные, как известно, (п +1)/2. Также известно, что сумма квадратов отклонений чисел натурального ряда от их средней величины
и
равна (n 3 - n)/12. Следовательно, знаменатель формулы (8.23) есть (п3 - п) /12.
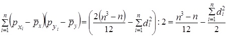
Рассмотрим далее разности рангов di =pxi –pyi и сумму их квадратов:
|
|
|

Отсюда

Это числитель коэффициента корреляции рангов. Подставив в (8.24) найденные выражения для числителя и для знаменателя, имеем:

Это и есть формула Спирмена.
Преимущество коэффициента корреляции рангов состоит в том, что ранжировать можно и по таким признакам, которые нельзя выразить численно: можно проранжировать кандидатов на занятие определенной должности по профессиональному уровню, по умению руководить коллективом, по личному обаянию и т. п, При экспертных оценках можно ранжировать оценки разных экспертов и найти их корреляции друг с другом, чтобы затем исключить из рассмотрения оценки эксперта, слабо коррелированные с оценками других экспертов. Коэффициент корреляции рангов, как будет показано в гл. 9, применяется для оценки устойчивости тенденции динамики.
Недостатком коэффициента корреляции рангов является то, что одинаковым разностям рангов могут соответствовать совершенно отличные разности значений признаков (в случае количественных признаков). Поэтому для последних следует считать корреляцию рангов, как и коэффициент знаков Фехнера, приближенными мерами тесноты связи, обладающими меньшей информативностью, чем коэффициент корреляции числовых значений признаков.
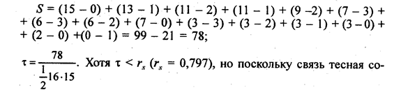
В качестве примера рассчитаем коэффициент корреляции рангов по данным табл. 8.1 (табл. 8.4).
Коэффициент корреляции рангов по формуле Спирмена

Полученное значение больше коэффициента Фехнера, но намного ниже обычного коэффициента корреляции, составившего 0,916. Как видим, недоучет размеров отклонений признаков от их средних величин занижает меру тесноты связи.
|
|
|
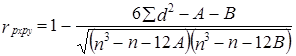
Если среди значений признаков х и у встречается несколько одинаковых, образуются связанные ранги, т. е. одинаковые средние номера; например, вместо одинаковых по порядку третьего и четвертого значений признака будут два ранга по 3,5. В таком случае коэффициент Спирмена вычисляется как
, (8.26)
где:
;
j - номера связок по порядку для признака х;
Аj - число одинаковых рангов в j-й связке по х;
k - номера связок по порядку для признака у;
Вk — число одинаковых рангов в k -й связке по у.
Таблица 8.4
Расчет коэффициента корреляции рангов по данным табл. 8.1
| Номера хозяйств | Ранг по затратам на 1 голову рx | Ранг по надою молока рy | d = px -py | d2 |
| -3 | ||||
| -1 | ||||
| -3 | ||||
| -2 | ||||
| -2 | ||||
| -1 | ||||
| -3 | ||||
| -1 | ||||
| S |
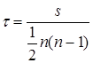
Коэффициент корреляции рангов может быть рассчитан и по формуле, предложенной английским статистиком М. Кендаллом:
, (8.27)
где s - фактическая сумма рангов;
- максимальная сумма рангов.
Этот коэффициент также изменяется в пределах - 1 < t < 1. Он дает несколько более строгую оценку связи нежели коэффициент Спирмена:
.
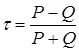
Это соотношение выполняется при большом числе наблюдений, п > 30, и слабых либо умеренно тесных связях. Для расчета т все единицы ранжируются по признаку х; по ряду другого признака у подсчитывается для каждого ранга число последующих рангов, превышающих данный (их сумму обозначим Р), и число последующих рангов ниже данного (их сумму обозначим Q).
Тогда S = Р - Q. Можно показать, что P+Q= - n(n- 1), так что t может быть представлен как
(8.28)
Вычислим коэффициент корреляции рангов Кендалла по данным табл. 8.4:
| Ранги по х | ||||||||||||||||
| Ранги по у |

отношение между этими двумя коэффициентами не вполне соответствует упомянутому: коэффициент Спирмена в нашем примере превосходит t не в 1,5 раза, а на 23%.