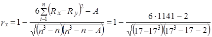
| Годы | Уровни, yi | Ранг лет, Рx | Ранг уровней, Ру | Рx-Рy | (Px -Py)2 |
| 3 • | |||||
| 9,5 | 5,5 | 30,25 | |||
| 14,5 | 7,5 | 56,25 | |||
| 3,5 | 4,5 | 20,25 | |||
| 1,5 | 7,5 | 56,25 | |||
| 14.5 | 3,5 | 12,25 | |||
| 1,5 | 12,5 | 156,25 | |||
| 3,5 | 11,5 | 132,25 | |||
| 9,5 | 7,5 | 56,25 | |||
| • S | — | - | - |
Ввиду наличия трех пар «связанных рангов» применяем формулу (8.26):

Отрицательное значение rx указывает на наличие тенденции снижения уровней, причем устойчивость этой тенденции ниже средней.
При этом следует иметь в виду, что даже при 100%-ной устойчивости тенденции в ряду динамики может быть колеблемость уровней, и коэффициент их устойчивости будет ниже 100%. При слабой колеблемости, но еще более слабой тенденции, напротив, возможен высокий коэффициент устойчивости уровней, но близкий к нулю коэффициент устойчивости тренда. В целом же оба показателя связаны, конечно, прямой зависимостью: чаще всего большая устойчивость уровней наблюдается одновременно с большей устойчивостью тренда.
|
|
|
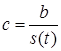
Устойчивость тенденции развития или комплексная устойчивость, в динамике может быть охарактеризована соотношением между среднегодовым абсолютным изменением и средним квадратическим (либо линейным) отклонением уровней от тренда:
(9.38)
Если, как нередко бывает, распределение отклонений уровней ряда от тренда близко к нормальному, то с вероятностью 0,95 отклонение от тренда вниз не превысит 1,645 s(t) по величине. Следовательно, если в ряду динамики
с > 1,64, то уровни, более низкие, чем предыдущие, в среднем будут встречаться менее 5раз за 100 периодов, или 1 раз из 20, т. е. устойчивость тренда будет высока. При с = 1 нарушения ранжированности уровней будут встречаться в среднем 16 раз из 100, а при с = 0,5 – уже 31 раз из 100, т. е. устойчивость тенденции будет низкой. Можно также пользоваться отношением среднего темпа прироста к коэффициенту колеблемости, что дает показатель, близкий к с - показателю устойчивости. Этот показатель более пригоден для экспоненциального тренда. О показателях устойчивости нелинейных трендов и об общих проблемах устойчивости экономических и социальных процессов можно подробнее прочесть в рекомендуемой к данной главе литературе [2].






