Если при изучении и измерении тенденции динамики колебания уровней играли лишь роль помех, «информационного шума», от которого следовало по возможности абстрагироваться, то в дальнейшем сама колеблемость становится предметом статистического исследования. Значение изучения колебаний уровней динамического ряда очевидно: колебания урожайности, продуктивности скота, производства мяса экономически нежелательны, так как потребность в продукции агрокомплекса постоянна. Эти колебания следует уменьшать, применяя прогрессивную технологию и другие меры. Напротив, сезонные колебания объемов производства зимней и летней обуви, одежды, мороженого, зонтиков, коньков - необходимы и закономерны, так как спрос на эти товары тоже колеблется по сезонам и равномерное производство требует лишних затрат на хранение запасов. Регулирование рыночной экономики как со стороны государства, так и производителей в значительной мере состоит в регулировании колебаний экономических процессов.
|
|
|
Типы колебаний статистических показателей весьма разнообразны, но все же можно выделить три основных: пилообразную или маятниковую колеблемость, циклическую долгопериодическую и случайно распределенную во времени колеблемость. Их свойства и отличия друг от друга хорошо видны при графическом изображении рис. 9.2.
Пилообразная или маятниковая колеблемость состоит в попеременных отклонениях уровней от тренда в одну и в другую сторону. Таковы автоколебания маятника. Такие автоколебания можно наблюдать в динамике урожайности при невысоком уровне агротехники: высокий урожай при благоприятных условиях погоды выносит из почвы больше питательных веществ, чем их образуется естественным путем за год; почва обедняется, что вызывает снижение следу- ющего урожая ниже тренда, он выносит меньше питательных веществ, чем образуется за год, плодородие возрастает и т.д.

Рис. 9.2. Виды колебаний
Циклическая долгопериодическая колеблемость свойственна, например, солнечной активности (10-11-летние циклы), а значит, и связанным с ней на Земле процессам - полярным сияниям, грозовой деятельности, урожайности отдельных культур в ряде районов, некоторым заболеваниям людей, растений. Для этого типа характерны редкая смена знаков отклонений от тренда и кумулятивный (накапливающийся) эффект отклонений одного знака, который может тяжело отражаться на экономике. Зато колебания хорошо прогнозируются.
Случайно распределенная во времени колеблемость - нерегулярная, хаотическая. Она может возникать при наложении (интерференции) множества колебаний с разными по длительности циклами. Но может возникать в результате столь же хаотической колеблемости главной причины существования колебаний, например суммы осадков за летний период, температуры воздуха в среднем за месяц в разные годы.
|
|
|
Для определения типа колебаний применяются графическое изображение, метод «поворотных точек» М. Кендэла, вычисление коэффициентов автокорреляции отклонений от тренда. Эти методы будут рассмотрены далее.
Основными показателями, характеризующими силу колеблемости уровней, выступают уже известные по главе 5 показатели, характеризующие вариацию значений признака в пространственной совокупности. Однако вариация в пространстве и колеблемость во времени принципиально различны. Прежде всего различны их основные причины. Вариация значений признака у одновременно существующих единиц возникает из-за различий в условиях существования единиц совокупности. Например, разная урожайность картофеля в совхозах области в 1990 г. вызвана различиями в плодородии почв, в качестве семян, в агротехнике. А вот суммы эффективных температур за вегетационный период и осадков не являются причинами пространственной вариации, так как в одном и том же году на территории области эти факторы почти не варьируют. Напротив, главными причинами колебания урожайности картофеля в области за ряд лет как раз являются колебания метеорологических факторов, а качество почв колебаний почти не имеет. Что же касается общего прогресса агротехники, то он является причиной тренда, но не колеблемости.
Второе коренное отличие состоит в том, что значения варьирующего признака в пространственной совокупности можно считать в основном не зависимыми друг от друга, напротив, уровни динамического ряда, как правило, являются зависимыми: это показатели развивающегося процесса, каждая стадия которого связана с предыдущими состояниями.
В-третьих, вариация в пространственной совокупности измеряется отклонениями индивидуальных значений признака от среднего значения, а колеблемость уровней динамического ряда измеряется не их отличиями от среднего уровня (эти отличия включают и тренд, и колебания), а отклонениями уровней от тренда.
Поэтому лучше использовать разные термины: различия признака в пространственной совокупности называть только вариацией, но не колебаниями: никто же не станет называть различия численности населения Москвы, Петербурга, Киева и Ташкента «колебаниями числа жителей»! Отклонения уровней динамического ряда от тренда будем называть всегда колеблемостью. Колебания всегда происходят во времени, не может существовать колебаний вне времени, в фиксированный момент.
На основе качественного содержания понятия колеблемости строится и система ее показателей. Показателями силы колебании уровней являются: амплитуда отклонений уровней отдельных периодов или моментов от тренда (по модулю), среднее абсолютное отклонение уровней от тренда (по модулю), среднее квадратическое откло;-нение уровней от тренда. Относительные меры колеблемости: относительное линейное отклонение от тренда и коэффициент колеблемости - аналог коэффициента вариации.
Особенностью методики вычисления средних отклонений от тренда является необходимость учета потерь степеней свободы колебаний на величину, равную числу параметров уравнения тренда. Например, прямая линия имеет два параметра, и, как известно из геометрии, через любые две точки можно провести прямую линию. Значит, имея лишь два уровня, мы проведем линию тренда точно через эти два уровня, и никаких отклонений уровней от тренда не окажется, хотя на самом деле и эти два уровня включали колебания, не были свободны от действия факторов колеблемости. Парабола второго порядка пройдет точно через любые три точки и т.п.
|
|
|
Учитывая потерю степеней свободы, основные абсолютные показатели колеблемости вычисляются по формулам (9.34) и (9.35):
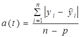
среднее линейное отклонение
(9.34)
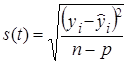
среднее квадратичное отклонение
(9.35)
где yi - фактический уровень;
ŷi - выравненный уровень, тренд;
n - число уровней;
р - число параметров тренда.
Знак времени «t» в скобках после показателя означает, что это показатель не обычной пространственной вариации, как в главе V, а показатель колеблемости во времени.
Относительные показатели колеблемости вычисляются делением абсолютных показателей на средний уровень за весь изучаемый период. Расчет показателей колеблемости проведем по результатам анализа динамики индекса цен (см. табл. 9.7). Тренд примем по результатам многократного скользящего выравнивания, т. е. у̂ = 104,53 - 1,433 t; t = 0 в 1987 г.
1. Амплитуда колебаний составила от -14,0 в 1986 г. до +15,2 в 1984 г., т.е. 29,2 пункта.
2. Среднее линейное отклонение по модулю найдем, сложив модули |ui| (их сумма равна 132,3), и разделив на (п - р), согласно формуле (9.34):
=8,82 пункта.
3. Среднее квадратическое отклонение уровней от тренда по формуле (9.35) составило:
= 9,45 пункта.
Небольшое превышение среднего квадратического отклонения над линейным указывает на отсутствие среди отклонений резко выделяющихся по абсолютной величине.
4. Коэффициент колеблемости:
или 9,04%. Колеблемость умеренная, не сильная. Для сравнения приводим показатели (без расчета) по колебаниям урожайности картофеля, данные таблиц 9.1 и 9.5 - отклонение от линейного тренда:
s(t) = 14,38 ц с 1 га, v(t) = 8,35%.
Для выявления типа колебаний воспользуемся приемом, предложенным М. Кендэлом. Он состоит в подсчете так называемых «поворотных точек» в ряду отклонений от тренда иi т. е. локальных экстремумов. Отклонение, либо большее по алгебраической величине, либо меньшее двух соседних, отмечается точкой. Обратимся к рис. 9.2. При маятниковой колеблемости все отклонения, кроме двух крайних, будут «поворотными», следовательно, их число составит п - 1. При долгопериодических циклах на цикл приходятся один минимум и один максимум, а общее число точек составит 2(n:l), где l - длительность цикла. При случайно распределенной во времени колеблемости, как доказал М. Кендэл, число поворотных точек в среднем составит: 2/3 (n - 2). В нашем примере при маятниковой колеблемости было бы 15 точек, при связанной с 11-летним циклом было бы 2-(17: 11) ≈ 3 точки, при случайно распределенной во времени в среднем было бы (2/3)·(17-2) =10 точек.
|
|
|
Фактическое число точек 6 выходит за границы двукратного среднего квадратического отклонения числа поворотных точек, которое по Кендэлу равно
*, в нашем случае
.
Наличие 6 точек, при 2 точках за цикл, означает, что в ряду могут быть примерно 3 цикла, продолжительность периода которых 5,5 - 6 лет. Возможно сочетание таких циклических колебаний со случайными.
Другой метод анализа типа колеблемости и поиска длины цикла основан на вычислении коэффициентов автокорреляции отклонений от тренда.
Автокорреляция - это корреляция между уровнями ряда или отклонениями от тренда, взятыми со сдвигом во времени: на 1 период (год), на 2, на 3 и т. д., поэтому говорят о коэффициентах автокорреляции разных порядков: первого, второго и т. д. Рассмотрим сначала коэффициент автокорреляции отклонений от тренда первого порядка.
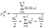
Одна из основных формул для расчета коэффициента автокорреляции отклонений от тренда имеет вид:
(9.36)
Как легко видеть по табл. 9.7, первое и последнее в ряду отклонения участвуют только в одном произведении в числителе, а все прочие отклонения от второго до (п - 1)-го - в двух. Поэтому и в знаменателе квадраты первого и последнего отклонений следует взять с половинным весом, как в хронологической средней. По данным табл. 9.7 имеем:

Теперь обратимся к рис. 9.2. При маятниковой колеблемости все произведения в числителе будут отрицательными величинами, и коэффициент автокорреляции первого порядка будет близок к -1. При долголериодических циклах будут преобладать положительные произведения соседних отклонений, а смена знака происходит лишь дважды за цикл. Чем длиннее Цикл, тем больше перевес положительных произведений в числителе, и коэффициент автокорреляции первого порядка ближе к +1. При случайно распределенной во времени колеблемости знаки отклонений чередуются хаотически, число положительных произведений близко к числу отрицательных, ввиду чего коэффициент автокорреляции близок к нулю. Полученное значение говорит о наличии как случайно распределенных во времени колебаний, так и циклических. Коэффициенты автокорреляции следующих порядков: II = - 0,577; Ш = -0,611; IV == -0,095; V = +0,376; VI = +0,404; VII = +0,044. Следовательно, противофаза цикла ближе всего кЗ годам (наибольший отрицательный коэффициент при сдвиге на 3 года), а совпадающие фазы ближе к б годам, что и дает длину цикла колебаний. Эти максимальные по абсолютной величине коэффициенты не близки к единице. Это означает, что циклическая колеблемость смешана со значительной случайной колеблемостью. Таким образом, подробный автокорреляционный анализ в целом дал те же результаты, что и выводы по автокорреляции первого порядка.
Если динамический ряд достаточно длинен, можно поставить и решить задачу об изменении показателей колеблемости с течением времени. Для этого рассчитывают эти показатели по подпериодам, но длительностью не менее 9-11 лет, иначе измерения колеблемости ненадежны. Кроме того, можно рассчитывать показатели колеблемости скользящим способом, а затем произвести их выравнивание, т. е. вычислить тренд показателей колеблемости. Это полезно, чтобы сделать вывод о действенности мер, применявшихся для уменьшения колебаний урожайности и других нежелательных колебаний, а также для того, чтобы по тренду сделать прогноз ожидаемых в будущем размеров колебаний.






