Понятие «устойчивость» используется в весьма различных смыслах. По отношению к статистическому изучению динамики мы рассмотрим два аспекта этого понятия: 1) устойчивость как категория, противоположная колеблемости; 2) устойчивость направленности изменений, т. е. устойчивость тенденции.
В первом понимании показатель устойчивости, который может быть только относительным, должен изменяться от нуля до единицы (100%). Это разность между единицей и относительным показателем колеблемости. Коэффициент колеблемости составил 9,0%. Следовательно, коэффициент устойчивости равен 100% - 9,0% = 91,0%. Этот показатель характеризует близость фактических уровней к тренду и совершенно не зависит от характера последнего. Слабая колеблемость и высокая устойчивость уровней в данном смысле могут существовать даже при полном застое в развитии, когда тренд выражен горизонтальной прямой.
Устойчивость во втором смысле характеризует не сами по себе уровни, а процесс их направленного изменения. Можно узнать, например, насколько устойчив процесс сокращения удельных затрат ресурсов на производство единицы продукции, является ли устойчивой тенденция снижения детской смертности и т. д. С этой точки зрения полной устойчивостью направленного изменения уровней динамического ряда следует считать такое изменение, в процессе которого каждый следующий уровень либо выше всех предшествующих (устойчивый рост), либо ниже всех предшествующих (устойчивое снижение). Всякое нарушение строго ранжированной последовательности уровней свидетельствует о неполной устойчивости изменений.
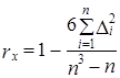
Из определения понятия устойчивости тенденции вытекает и метод построения ее показателя. В качестве показателя устойчивости можно использовать коэффициент корреляции рангов Ч. Спирмэна (Spearman) - rx.

где п — число уровней;
Δi - разность рангов уровней и номеров периодов времени.
При полном совпадении рангов уровней, начиная с наименьшего, и номеров периодов (моментов) времени по их хронологическому порядку коэффициент корреляции рангов равен +1. Это значение соответствует случаю полной устойчивости возрастания уровней. При полной противоположности рангов уровней рангам лет коэффициент Спирмэна равен -1, что означает полную устойчивость процесса сокращения уровней. При хаотическом чередовании рангов уровней коэффициент близок к нулю, это означает неустойчивость какой-либо тенденции. Приведем расчет коэффициента корреляции Спирмэна по данным о динамике индекса цен (табл. 9.7) в табл. 9.8.
Таблица 9.8