Мы обсудили построение индексов при обобщении данных по многим товарам или «элементам» и при обобщении данных по единицам при наличии одного элемента (одного вида товара). В экономических расчетах приходится иметь дело с задачами построения индексов, объединяющих данные по единицам и по элементам.
Обозначим число элементов т, число единиц п. Обобщение данных при построении индексов можно подразделить на три уровня:
1) п = 1, т > 1- индексный анализ проводится по одной единице (предприятию, магазину и т.д.) и группе элементов;
2) п > 1, т = 1 - индексный анализ по группе единиц и одному элементу (товару, виду продукции);
3) п > 1, т > 1— индексный анализ по группе единиц и элементов.

Продолжение
| Вид торговли | Товары | Базисный пегриод | 0тчетный период | Расчетные показатели | |||||
| тонн q0 | руб./кг Р0 | тыс. руб. q0p0 | тонн q1 | руб./кг p 1 | тыс. руб. q1p1 | руб./кг q1p0 | тыс. руб. q0p1 | ||
| Магазин 2 | Говядина Яблоки Крупа гречневая Сахарный песок | 2,0 4,0 2,0 3,2 | 18,00 3,80 4,50 5,80 | 36,00 15,20 9,00 18,56 | 2,0 4,5 1,7 - | 19,00 4,00 4,60 - | 38,00 18,00 7,82 - | 36,00 17,10 7,65 - | 38,00 16,00 9,20 (...) |
| Итого | по полному кругу | - | — | 78,76 | — | — | 63,82 | 60,75 | (...) |
| в том числе | по сопоставимому кругу | 60,20 | 63,82 | 60,75 | 63,20 | ||||
| Q0 | Р̅0 | Q0P̅0 | Q1 | P̅1 | Q1P̅1 | Q1P̅0 | Q0P̅1 | ||
| Всего по всем видам торговли | Говядина Свинина Картофель Яблоки Крупа гречневая Сахарный песок | 3,2 1.0 -6,5 12,7 5,0 7,2 | 20,625 58,000 1,708 3,760 4,35 5,356 | 66,00 58,00 11,10 47,75 21,75 38,56 | 4,5 1,5 7,7 11,3 3,5 3,5 | 20,000 64,000 1,966 4,531 4,849 6,500 | 90,00 96,00 15,14 51,20 16,97 22,75 | 92,813 87,000 13,152 42,488 15,225 18,746 | 64,000 64,000 12,779 57,544 24,245 46,800 |
| Итого | - | - | 243,16 | - | - | 292,06 | 269,424 | 269,368 |
Последний тип задач характерен для муниципального управления, аналитической работы в региональных, ведомственных и федеральных статистических службах.
|
|
|
Предположим, нам нужно изучить потребление продовольствия в районе города. Собраны данные об объеме покупок товаров и ценах на рынках и в приватизированных магазинах (табл. 10.7).
По данным табл. 10.7 можно построить индексы объема продажи и цен для каждого вида торговли в отдельности, что соответствует данным типа 1; можно определить изменение объема продажи и цен на каждый из товаров по всем видам торговли, что соответствует данным типа 2; наконец, можно получить индексы объема продаж и цен по всем видам торговли и всем товарам. Произведем последовательно расчеты всех индексов, используя базисные веса в индексах объема и отчетные - в индексах цен.
Рынок.



Магазин I. В этом магазине ассортимент товаров изменялся: в базисном периоде говядины не было в продаже, в отчетном - она появилась. В этом случае изменение цен определяется по сопоставимому кругу товаров, т.е. по четырем товарам. Обозначим сопоставимый круг товаров l, полный круг в базисном периоде – m0, в отчетном – m1. Тогда
|
|
|
(10.28)

Индекс объема продаж должен отразить изменение объема продаж тех товаров, которые были в базисном и продолжали продаваться в отчетном периоде, и, кроме того, изменение в объеме продажи в связи с появлением нового товара (несопоставимого). Так что

т. е. этот индекс должен включать данные по полному кругу элементов (товаров): сопоставимым и несопоставимым. В нашем примере •

Возникает проблема определения базисной цены для товара, который имелся только в отчетном периоде. Возможны по крайней мере три ее решения.
1. Использование для несопоставимых элементов цены отчетного периода, т. е. числитель 1q представляется как

По данным табл. 10.7

Расчет 1q этим методом нарушает увязку индексов в систему:
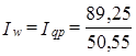
1,21·1,583 = 1,9154·100% = 191,54%, тогда как по данным табл. 10.7 индекс выручки составил:
= 1,7656·100% = 176,6%.
Однако выполняется увязка абсолютных изменений:
Δ w = Δ qp = Δ qp0 + Δp q 1 = (80,00 - 50,55) + (53,25 - 44,00) = 38,70 тыс. руб.; если сравним непосредственно суммы выручки отчетного периода, то получим ту же величину: Δ w = 89,25 - 50 55 = 38,70 тыс. руб.
2. Использование условных значений базисных цен, которые определяются расчетным путем. Логично предположить, что если бы говядина была в базисном периоде, то цены на нее повысились примерно так же, как и на остальные товары. Это предположение, можно записать в виде равенства: 
Так как

В нашем примере условная цена говядины в магазине 1 в базисном периоде составила
=14,876 тыс. руб./кг. Тогда
=1459.100% = 145,9%. Обратим внимание на то, что этот метод обеспечивает увязку индексов в систему, т. е. 1q· Ip = Iqp или Iw = 1,459·1,21 = 1,765. Однако взаимосвязь абсолютных изменений не выполняется: (73,752 - 50,55) + (53,25 - 44,00) = 23,202 + 9,25 = 32452 тыс. руб. вместо фактической величины изменения 38,70 тыс. руб.
3. Использование базисных цен других едивиц или средних по совокупности. Например, при расчете / для магазина 1 использовать базисную цену на говядину в магазине 2. Тогда

В данном случае из-за совпадения р г0 в магазине 2 с р u1 в магазине 1 этот метод привел к тому же результату, что и первый.
Использование средней базисной цены на говядину по всем видам торговли дает менее реальные результаты ввиду того, что значительный объем продаж говядины осуществляется на рынке, где цены были выше. Поэтому р ̅г > р ̅г0. Значение индекса объема продаж составило:

Это значение превышает все предыдущие.
Магазин 2. Здесь тоже ассортимент менялся: в отчетном периоде не торговали сахарным песком. Но это не вызывает трудностей в построении индексов, так как изменение объема продаж обусловлено как изменением продаж сопоставимых товаров, так и отсутствием продажи несопоставимого товара.

Если нужно рассчитать q0p1 для несопоставимого товара, то можно воспользоваться одним из рассмотренных способов.
Чтобы получить результаты по всем видам торговли, данные обобщаются определенным образом. При этом возможны два подхода.
Первый подход основан на суммировании данных по видам торговли (или отдельным предприятиям). Этот метод основан на данных отдельных хозяйственных единиц и поэтому называется заводским методом.

где п - число единиц совокупности;
т — число элементов, всего;
l - число сопоставимых элементов.
В этом случае один и тот же товар или вид продукции взвешивается по разным ценам в зависимости от того, где он учитывается.
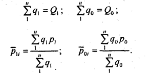
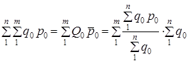
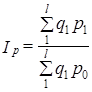
Второй подход основан на обобщении данных по отдельным товарам независимо от места реализации. Рассчитываются для каждого товара сводные показатели количества и цены:

Затем данные обобщаются по всем товарам, при этом каждый из них взвешивается по средней цене для данного товара. Этот метод основан на обобщении с позиций совокупности, а не отдельных единиц и потому получил название отраслевой метод:
|
|
|

При этом сопоставимость элементов определяется, исходя из условий совокупности в целом.
В нашем примере (табл. 10.7) были товары, не сопоставимые с позиций отдельных видов торговли, но в целом для торговли все они сопоставимы.
Вычислим индексы тем и другим методом:
по данным отдельных видов торговли

по данным всех видов торговли, вместе взятых,

Получилось, что средние цены повысились в меньшей степени, чем в отдельных видах торговли: +8,4% против +14,5%. Это соотношение отражает влияние структурного фактора, изменение удельного веса продажи того или иного товара разными видами торговли. В частности, большое значение имела продажа говядины в отчетном периоде не только на рынке и в магазине 1, но и в магазине 2, где цены ниже.
Соотношение индекса средних цен и индекса цен без учета структурного фактора дает оценку структурных сдвигов:
= 1,084: 1,153 = 0,941·100% = 94,1%,
т. е. за счет изменения соотношения разных видов торговли в общем объеме реализации средние цены снизились на 5,9%.
Мы получили индекс структуры исходя из взаимосвязи индексов. Можно рассчитать его значение непосредственно по формуле

Если стоит задача измерить влияние объема продаж на величину выручки от продажи, т. е. найти Iw(q), то это влияние измеряет индекс, найденный по заводскому методу. Его величина отражает одновременно и изменение объема продажи во всех видах торговли, и изменение структуры продажи.
Алгебраически это можно представить в виде равенства:
(19.34)
(10.35)
где

По данным табл. 19.7 IQ = 1,108,
= 0,941, тогда
Iq = 1,108·0,941 = 1,042·100% = 104,2%.
Мы рассмотрели систему индексов, в которой использовались разновзвешенные индексы: индексы объемного фактора (количества) с базисными весами, индексы качественного фактора (цен) - с отчетными весами. Плюсы и минусы такого метода построения индексов уже обсуждались.
Если необходимо все индексы построить на базисных весах, то в системе индексов появляется индекс совместных изменений. С экономической точки зрения его часто называют индексом смещения ассортимента, так как он показывает изменение в реализации доли товаров с разным темпом снижения цен:
|
|
|

Можно оценить эффект совместного изменения признаков q и р в системе индексов, построенных по заводскому методу:

Вполне возможны различия в значениях индексов совместных изменений, полученных по формуле (10.36) или (10.37). Это различие может возникнуть из-за разного охвата элементов: в первом случае сопоставимость определяется с общеотраслевых позиций, во втором - с позиций отдельного предприятия.
Итак, вы получили представление о способах построения индексов при обобщении данных и по многим товарам, видам продукции и по магазинам, рынкам, предприятиям. Какой метод выбрать в каждом конкретном случае, вам часто придется решать самим, ведь далеко не всегда имеется инструкция по проведению расчетов.






