| Рынки | Объем дневной продажи, кг | Цена, руб/кг | Изменение цены, % | Удельный вес каждого рынка, % | Выручка от продажи, тыс.руб | |||||
| август | сентябрь | август | сентябрь | август | сентябрь | условная | ||||
| q0 | q1 | p0 | p1 | ip | d0 | d1 | q0p0 | q1p1 | q1p0 | |
| Центральный | 1,60 | 2,00 | 125,0 | 38,1 | 30,6 | |||||
| Старый | 1,50 | 1,60 | 106,7 | 23,8 | 18,4 | |||||
| Новый | 1,80 | 2,30 | 127,8 | 38,1 | 51,0 | |||||
| Итого | 1,65 | 2,08 | 123,5 | 100,0 | 100,0 |
Средняя цена картофеля в августе составила р̅0 =1,65 тыс. руб./кг, в сентябре p̅1= 2,08 тыс. руб./кг. Наибольший рост цен произошел на рынке в новом районе, но здесь же и наибольшее увеличение объема продаж, в результате чего доля этого рынка в общей дневной реализации картофеля в сентябре стала превышать половину всего объема. Индекс средней цены составил:
Iр = 2,08 тыс. руб:/кг: 1,65 тыс. руб./кг = 1,259·100% = 125,9%
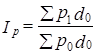
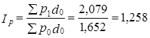
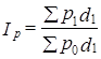
Изменение самой цены в условиях структуры продажи, сложившейся в отчетном периоде, составило:
= 1,235·100% = 123,5%,
т. е. среднее повышение цен на рынках было несколько меньшим, чем повышение средней цены (+23,5% против +25,9%). Эту величину мы получили делением средней цены в отчетном периоде на среднюю условную цену, которая была бы при базисном уровне цен на рынках и отчетной структуре продаж. Этот же индекс можно было получить как отношение сумм выручки в отчетном периоде к условной выручке:
|
|
|

Различие между индексом постоянного состава Ip и индексом переменного состава Ip̅ вызвано изменением структуры:
Iструктуры = 168,4: 165,2 = 1,019·100% =101,9%.
За счет изменения структуры продажи средняя цена картофеля на колхозных рынках повысилась на 1,9%. Это связано с повышением удельного веса нового рынка, на котором цены выше. Очевидно, что выполняется равенство 1,235·1,019 = 1,259.
Если использовать обозначение структуры продажи d, то индексы (10.22), (10.23), (10.24) будут иметь вид:
(10.26)
Можно выразить и абсолютное изменение средней величины с учетом изменения факторов-самого осредняемого признака и структуры (т. е. признака-веса):
(10.27)
По данным табл. 10.6 средняя цена картофеля повысилась на 43 руб./кг: Δp̅ = 2,08 - 1,65 = 0,43 руб./кг; в том числе за счет самой цены Δ p̅(р) = 2,08 - 1,68 = 0,4 руб./кг и за счет структурного фактора Δ p̅(d) = 1,68 - 1,65 = 0,03 руб./кг.
И при относительном, и при абсолютном разложении эффект взаимодействия факторов - цены и структуры продажи - присоединился к оценке изменения цен. Если получить эту оценку в условиях базисного периода, то сравнение индексов
и 
позволит выделить эффект совместного изменения факторов. По данным табл. 10.6 получаем:

Этот результат мало отличается от того, который был получен в условиях структуры продажи отчетного периода (1р = 1,259), так что эффект взаимодействия факторов оказался незначителен и направлен на повышение средней цены.
|
|
|
Влияние структурных сдвигов может привести к неожиданным результатам: изменение себестоимости в целом по отрасли может оказаться большим, чем на отдельных предприятиях; или при выполнении производственной программы всеми предприятиями региона может оказаться, что регион в целом с программой не справился. Этот вопрос подробнее освещен в п. 10.7.






